摘 要:本文介紹了連續變焦光學系統的基本工作原理以及光學設計方法的全過程。其中包括變焦和補償方案的選擇、高斯光學各組元焦距分配、外形尺寸計算、初級像差平衡、PW求解、初始結構參數確定、系統實際像差自動平衡,直到凸輪曲線優化設計等。文章以圖形和公式說理,用OCAD光學自動設計軟件為工具,全面介紹三組元連續變焦系統的設計方法及過程。 關鍵詞 變焦系統 機械補償 像差平衡 凸輪優化設計 OCAD光學設計程序
一、 連續變焦光學系統的基本工作原理 在日常生活或軍事觀察中有時會想在一定圖象畫面內了解較大范圍的目標全貌,有時又需要在一個較小范圍內觀察目標圖象的具體細節。從光學設計的角度說,就是要求一個光學系統在像高大小不變時,可以改變物面尺寸大小。由光學系統能量守衡定律,拉氏不變量
![]()
可以看出,對同一個光學系統,無論在物方還是像方甚至中間任意一個光學表面都要遵循這個拉氏變量J不變的原則。對于照相(望遠)物鏡而言,上式可以寫成
![]()
的形式。又由于光學系統的焦距計算公式為

這樣又有關系式

這就意味著要改變物方視場就必須通過改變系統焦距來實現。這就是可變焦距光學系統的由來。一個光學系統影響其焦距變化的因素也很簡單,因為系統焦距只是組成該系統的各表面的表面半徑(曲率)、間隔以及其光學材料的折射率的函數,即

為此,要改變光學系統焦距必須通過改變組成系統的表面半徑(曲率)、間隔以及其光學材料的折射率來實現。為了實現光學系統變焦,最古老的也是最有效的方法就是提高改換光學系統內部分光學零件來實現。比如對一個顯微系統,可以更換不同焦距的顯微物鏡或不同焦距的目鏡實現。因為這樣有限數量的整組物鏡或目鏡的更換,對一個顯微鏡而言,其放大倍率的改變自然也是有限的和不連續的。還有一種是不改變光學系統內光學零件,也就是不改變光學系統的各表面半徑和材料折射率,而僅是通過改變各光學零件之間的空氣間隔,即改變參數d改變系統焦距,這樣就可以連續無間斷地獲得一個變焦光學系統。為此變焦光學系統就分為兩大類。前者被稱作斷續變焦光學系統,后者叫做連續變焦系統。 斷續變焦系統還可以分成幾種不同類型,比如通過打入(出)一組或多組光學零(部)件實現系統兩個不同焦距變化的變焦的光學系統被稱做打入型斷續變焦系統;

可以分多組以不同順序多次打入(出)不同光學光學零(部)件,每打入(出)一組光學零(部)件就可以獲得一次不同系統焦距變化的變焦系統,被稱做多組打入型斷續變焦系統。

還有一種是通過光學系統內部分光學零(部)件沿光軸方向移動,改變光學間隔以實現系統焦距變化,但在移動過程中只能在幾個特定位置上保持系統像面大小和位置不變切成像質量滿足要求的變焦系統被稱做改變間隔型斷續變焦系統,無論那種斷續變焦系統,在其變焦過程中都要求系統像面大小幾像面位置不變,而且還要求在變焦過程中系統成像質量滿足使用要求。 連續變焦系統同樣也可以分成幾種不同類型的變焦系統。比如把光學系統內一部分光學零(部)件保持位置不變,另一部分相對固連在一起和位置不動的部分分別相間沿光軸方向移動實現系統焦距連續可變的系統被稱為光學補償式連續變焦系統。

如果把一個變焦系統的可沿光軸方向移動的組分分成兩組,各自按不同的運動規律移動的變焦系統被叫做機械補償式連續變焦系統,

如果變焦組或補償組本身不是一個獨立組分,期間還和系統固定部分相間排列的變焦系統,有叫做雙組聯動型連續變焦系統。
二、 打入型斷續變焦光學系統的設計方法
三、 光學補償式連續變焦光學系統設計方法
四、 機械補償式三組元連續變焦光學系統的基本工作原理
對成像系統,采用連續變焦光學系統是解決大視場搜索觀察小視場分辨的最佳途徑。由交替固定和相對活動的透鏡或透鏡組組成的光學系統就是連續變焦光學系統[1]。系統的最前一個透鏡或透鏡組和最后一個透鏡或透鏡組都可以是固定的或是活動的。變焦系統的最后一個活動組前面的所有固定組和活動組的總數被稱為變焦系統的組分數或組元數。變焦系統中所有活動組分固連在一起沿光軸方向做直線運動的系統稱作光學補償式變焦系統。由一部分活動組的運動補償因另一部分活動組的運動產生的系統像面位移的變焦系統稱作機械補償式變焦系統。其中為完成系統焦距變化的活動組份叫變焦組,用來補償因變焦組的運動產生的像面位移的活動組分叫補償組。在利用物象交換原則進行變焦,用往復式運動的補償方式的變焦系統,有著明顯的變焦組和補償組的分工,但利用物象交換原則進行變焦,用換根原則單調方向運動的補償方式的變焦系統已沒有嚴格的變焦組和補償組之分了,因為此類變焦系統的兩個活動組分的變焦貢獻相差不大,只是習慣上稱呼前面的活動組為變焦組,后面的活動組為補償組。系統的最后一個活動組前面的所有組分也被叫做系統的變焦部分,主要負責完成系統的焦距連續變化,并保持系統像差的穩定不變。后固定組也叫固定部分,他對系統變焦沒有貢獻,主要負責把整個系統成像質量達到最佳狀態,當然后固定組還可以調整系統的后工作距離和光學筒長的作用。 機械補償式三組元連續變焦光學系統就是由一個前固定組、一個變焦組和一個補償組組成的光學系統。機械補償式三組元連續變焦光學系統還可以有一個后固定組,如圖1。該系統中透鏡組1為前固定組,透鏡組2為變焦組,透鏡組3為補償組,透鏡組4為后固定組。前固定組的焦距值直接影響著系統的總體焦距大小,變焦組和補償組的相對位置的變化決定系統的焦距變化倍率,即變焦比。補償組的焦距為正值的變焦系統叫做正組補償系統,補償組的焦距為負值的變焦系統為負組補償系統。由于該類變焦系統結構簡單,便于設計,其應用面也最廣。本文著重論述機械補償式三組元連續變焦光學系統從理想光學的高斯計算、初級像差平衡、系統像差優化方法直到凸輪曲線的優化設計。#p#分頁標題#e#

1.1 對機械補償式三組元連續變焦光學系統的特點及基本要求
對機械補償式三組元連續變焦光學系統,必須滿足以下要求
1) 均勻改變焦距 系統變焦必須在規定范圍內連續變化。系統焦距變化范圍可以用系統的最小焦距值和最大焦距值,或者用給定最小焦距值和變焦比規定。
2) 系統的相對孔徑基本保持不變 由于系統的相對孔徑表征著像面的照度,為保證在變焦過程中像面照度不變,必須保持系統相對孔徑穩定不變。變焦系統的孔徑光欄一般設在后固定組的位置,因為孔徑光欄在固定組上可以保證系統像面總照度維持不變。如果系統孔徑光欄不在固定組上,必須要求該孔徑光欄隨系統變焦而隨時調整光欄位置和大小,確保系統像面總照度維持不變。
3) 變焦過程像面保持穩定 在變焦過程中像面保持穩定有兩個含義,一是保持像面位置穩定,二是要求隨著系統焦距的變化系統像面尺寸保持穩定。
4) 成像質量符合要求 連續變焦系統和定焦距系統對成像質量的要求不同,不僅要求某個變焦位置的成像質量最佳,還要求所有各變焦位置的成像質量穩定一致。
1.2 變焦組在變焦過程中的像面位移分析
機械補償式三組元連續變焦光學系統中,變焦組在變焦過程中由于其物象共軛距離的變化不斷產生像面位移。變焦組在變焦過程中沿光軸方向可以是勻速直線運動,也可以任意曲線方程規律作非勻速運動。圖2給出了正組變焦組在變焦過程中勻速直線運動時產生像面位移的光學系統示意圖,圖中用虛線

表示了變焦組勻速直線運動軌跡和系統像面位移曲線。根據高斯公式(1),不難得出物象共軛距離Δ的表達式(2)以及變焦組移動距離x所產生像面位移δ的表達式(3),并由此兩公式繪出正組變焦在變焦過程中像面位移曲線如圖3。圖中列出了正組變焦組在變焦過程中物距由
移動到
處像面位移的曲線圖。

此外,根據以上公式還可以得出變焦組的物象放大率m和變焦比Γ的表達式如(4)和(5),同時繪出正組變焦在變焦過程中物象放大率曲線關系如圖4。由圖4可以看出,在極值點
處變焦組放大率
。變焦組放大率m和變焦比Γ隨物距的變化成二次曲線關系。

負組變焦組在變焦過程中勻速直線運動時產生像面位移的情況如圖5、圖6和圖7。



由以上計算公式及圖表分析對變焦組在機械補償式三組元連續變焦光學系統中的作用可以歸納如下。
1) 變焦組在變焦過程中,保持物面不動,變焦組緗對物面沿光軸方向移動改變系統總焦距。
2) 變焦組在變焦過程中,因其物距變化引起像面位移,像面位移量在物距l=-2f處有極值,像面位移曲線從極值點向兩邊延伸,并在l=-f和l=-∝處像面位移趨向無窮大。像面位移曲線在極值點前后變化速率不同。在極值點前(l=-f~-2f)速率較快,在極值點后(l=-2f~-∝)速率變化逐步緩慢。
3) 像面位移量的大小,在變焦組的焦距值不變的前提下僅和物面位置(物距)有關。
4) 像面位移曲線是個二次曲線,對應一個像面位移量有兩個不同的物距值,由于這兩個不同的物距有相同的像面位移量,或者說是有一個相同的共軛距離,通常把這一對物像點叫做物像交換點。
5) 在像面位移的極值點,物象放大率等于-1(m=-1),物面在極值點和變焦組之間,物像放大率絕對值大于1(abs(m)>1),在l=-f處m=∝;物面位置在無窮遠和像面位移極值點之間物像放大率絕對值小于1(abs(m)<1)。在l=∝處m=0。
1.3 補償組在變焦過程中的像面位移分析
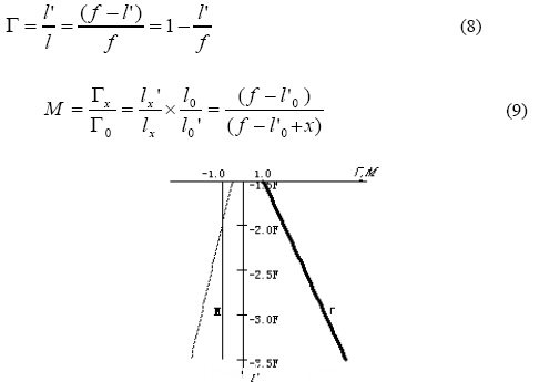
機械補償式三組元連續變焦光學系統中的補償組,在變焦過程中的作用就是以自身的物面位移量吻合變焦組的像面位移量,時刻保持系統像面位置穩定。也就是在保持補償組的像面位置不變的前提下,軸向移動補償組必然要求相應的物面位移,當補償組的物面位移和變焦組的像面位移完全吻合時,變焦系統的像面保持穩定不變。機械補償式三組元連續變焦光學系統補償組在補償過程中,為補償變焦組產生的像面位移,均以非均勻變化的非勻速運動形式相對系統像面運動。圖8所示為機械補償式三組元正組補償的補償組相對系統像面在作勻速直線運動示意圖。在圖8中,補償組相對系統像面變化,即隨像距'l的變化為自變量。為此,有公式(6)、(7)、(8)和(9),并由此公式組繪出圖形如圖9和圖10。

#p#分頁標題#e#

圖10 正組補償在變焦過程中物象放大率曲線
負組補償的系統示意圖及其相應曲線如圖(11)、(12)和(13)。


由以上計算公式及圖表分析對補償組在機械補償式三組元連續補償光學系統中的作用可以歸納如下。
1) 補償組在補償過程中,補償組沿光軸方向移動產生補償組的像面位置變化以補償變焦組的像面位移量,保持系統像面不動。
2) 補償組在補償過程中,讓補償組相對像面使像距變化產生物面位移。物面位移量在像距l‘=2f處有極值,物面位移曲線從極值點向兩邊延伸,并在l’=f和l’=∝處物面位移趨向無窮大。物面位移曲線在極值點前后變化速率不同。在極值點前(l’=f~2f)速率較快,在極值點后(l’=2f~∝)速率變化逐步緩慢。
3) 物面位移量的大小,在補償組的焦距值不變的前提下僅和像距有關。
4) 物面位移曲線是個二次曲線,對應一個物面位移量有兩個不同的像距值,由于這兩個不同的像距位置有相同的物面位移量,或者說是有一個相同的共軛距離,通常把這一對物像點叫做物像交換點。
5) 補償組的放大率m與像距l’之間成線性關系,當像面在l’=2f處補償組放大率等于-1(m=-1),當像距在無窮遠處,放大率為無窮遠(m=∝),當像距l’=f時放大率等于零(m=0)。 1.4 變焦組與補償組的搭配 機械補償式三組元連續變焦系統的變焦部分是由變焦組和補償組兩個活動組分組成的。無論變焦組和補償組各自都可以是正組分或是負組分,它們之間也有相互(正負)搭配問題。由以上分析可以看出,正組—正組搭配或負組—負組搭配是由于其變焦組的像面位移曲線形狀和補償組的物面位移曲線形狀走勢相反,難以選擇物像交換及補償曲線換根的原則,使得變焦速度偏慢,而正組—負組搭配和負組—正組搭配方式,其變焦組的像面位移和補償組的物面位移曲線走勢剛好相同,容易選擇物像交換原則及補償組曲線換根。實際上補償組和變焦組沒有嚴格分工,都可以負擔系統變焦比,不僅使得系統變焦速度快,而且系統像差容易平衡。本文重點分析正組—負組搭配和負組—正組搭配兩種形式。 1) 正組—負組搭配 采用正組變焦負組補償的結構形式就是通常所稱的負組補償結構形式,如圖14。該結構形式的特點在于其變焦組的物面在前,必須使用負光焦度的前固定組,這樣系統變焦部分的總焦距也必然是負值,為了保證總焦距值為正值,在系統后部還必須使用正光焦度的后固定組,而且后固定組的負擔也很重。負組補償系統在變焦過程總焦距由長焦向短焦方向發展。

2) 負組—正組搭配
采用負組變焦正組補償的結構形式叫正組補償結構形式,如圖15。由于正組補償變焦系統使用正光焦度的前固定組,整個變焦部分的光焦度為正值,全系統可以不用后固定組。不過通常還是需要使用后固定組用以調整系統總焦距和工作距離,平衡系統像差。正組補償系統在變焦過程總焦距由短焦向長焦方向發展。

1.5 變焦組的選擇
變焦組是變焦系統完成變焦功能的主要組成部分,是變焦部分的主動方。正由于變焦組在變焦過程中產生系統像面位移,因此選擇哪一段作為變焦范圍,選擇變焦組在變焦過程中的運動速度,是選擇變焦組的主要依據。
當變焦組在變焦起點位置和終點位置時的物距和像距剛好相互交換,該變焦組被稱為物像交換原則的變焦組,此時變焦組產生的像面位移量最小,而且在兩端的位移量等于零。由于像面位移量最小,當然給補償組的負擔也最小,整個系統結構緊湊,易于像差平衡。對于非物像交換原則的變焦組,雖然不具備最小像面位移優點,由圖4可以看出當變焦組物距l在abs(l)<2f范圍內變焦速度最快,因此在abs(l)=2f附近,偏向abs(l)<2f一方選擇變焦組活動范圍有利于提高變焦速度。
1.6 補償組運動曲線的擬合
補償組在機械補償式三組元連續變焦光學系統中的首要作用就是用自己的軸向移動過程中產生的物面位移全過程的補償變焦組在變焦過程中產生的像面位移量。但由于變焦組和補償組各自的光焦度和各自的移動范圍不同,他們各自產生的像(物)面位移的量和曲線規律都不同,不可能自然補償。要在系統全過程內精確補償,必須人為改變補償組的運動規律(運動曲線)影響補償組的物面位移曲線形狀彌合變焦組的像面位移曲線。這就是補償組運動曲線的擬合。關于補償組運動曲線的擬合方法的專門論述一直是近數十年來不斷的話題。在參考文獻[2]和[3]中都有比較深刻地分析。概括起來,可以說補償組為了補償系統像面位移,唯一的辦法就是把自己的運動規律相對變焦組由線性同步運動改為非線性的非同步運動,實質上就是改變自己的物面位移形狀以擬合變焦組的像面位移曲線形狀。通常補償組的曲線擬合方式有以下幾種原則和方式。
1) 在物面位移的極值點位置一側做單方向運動
這種方法往往適用于變焦組非物像交換原則的小變焦比的變焦系統。
2) 以物面位移的極值點位置為轉折點往復運動方式 如圖16補償組往復運動的優點是補償組運動范圍小,系統結構緊湊,但從圖4可以看出,補償組在往復運動過程中,一段和變焦組作反向運動,另一段作同向運動。在做反向運動有利于變焦速度,而同向運動必然減緩變焦速度,使得變焦過程加長,降低變焦效果。

當變焦組使用物像交換原則補償組采用往復運動方式時,設補償組在補償運動前半段放大率為2m,后半段為2'm,系統的變焦比Γ和變焦組的放大率關系為#p#分頁標題#e#

如果補償組運動返回到原位置時

此時補償組對系統變焦比沒有貢獻,系統的總變焦比為
![]()
只有變焦組承擔全部變焦比的任務。
3) 在物面位移的極值點位置處換根繼續原方向運動 補償曲線的換根連續單方向運動如圖14和圖15,是推動連續變焦系統設計的重大發展[3]。也就是要求變焦組和補償組共同在一個位置具備放大率為1的條件,或者說兩條曲線都在極值點會合,讓補償曲線平穩過渡繼續單方向運動,此時補償組終點位置和起點位置的放大率互為倒數,即

表達式(9)變為

由此可見,這一方案既能加快變焦速度又能快速補償像面位移。當變焦組和補償組均采用物像交換原則,并對補償組使用換根原則時,實際上補償組也起到了變焦比的貢獻,如果補償組的焦距值接近變焦組的焦距值,此時系統總變焦比Γ為

系統的變焦比由變焦組和補償組共同承擔,變焦組和補償組也就沒有了明確的分工。
4) 改變變焦組運動規律改善補償組補償環境 補償組用來補償變焦組形成的像面位移的能力也是有限的,特別對于一些大變焦比系統,如果其變焦組與補償組的匹配方案不是很合理的情況下更顯突出。為了緩解補償組的補償壓力,有時也不得不求助于變焦組的努力。這就是改變變焦組運動規律改善補償組補償環境的方案。比如同一個變焦系統,在改變成曲線運動規律后的變焦組和補償組的運動曲線如圖17,他在改變了運動規律后凸輪曲線的陡度如圖18。由此可以清晰看出,改變前凸輪曲線最大陡度可達70°之多,造成凸輪運動卡死,簡直無法使用,而把變焦組的運動規律略加修改就可把凸輪曲線的最大陡度改善到30°以內,明顯提高了變焦系統的運動性能。

2 高斯光學外形尺寸計算及初始結構參數確定
三組元連續變焦系統是可變間隔的機械補償式連續變焦光學系統的一個最有代表意義的結構形式,其中按物像交換原則正組變焦負組補償以及負組變焦正組補償更是其中最具典型的結構形式。在三組元機械補償式連續變焦系統設計過程中一旦設計方案確定之后緊接著就開始進行高斯光學的外形尺寸的計算。高斯光學外形尺寸計算的任務是進行系統中各組分光焦度的具體分配和近軸光線幾何尺寸的計算以便完成初級像差的設計。
2.1 外形尺寸自動計算
在進行變焦系統高斯光學外形尺寸計算時會因變焦方案的不同而有區別。利用物像交換原則和不用物像交換原則不同,使用補償組曲線求解時換根和不換根不同,正組補償和負組補償的具體計算方法也會不同。此外,就是一個變焦和補償方案,因對系統的具體要求不同其計算方法也會有所不同,比如有些系統需要根據前固定組的要求進行設計,有的系統要根據后固定組的數據及后工作距離的要求進行設計。為滿足這些要求,在可以自動進行變焦系統自動設計的OCAD光學設計程序中,就可滿足對正組補償和負組補償變焦系統的選擇要求,可以滿足根據前固定組求解和根據后固定組求解的不同選擇的要求。

在OCAD光學設計程序的菜單中,在選擇“設計”菜單中的“變焦系統高斯計算”后,即可獲得三組元機械補償式連續變焦系統高斯光學外形尺寸計算的功能界面。在圖19的界面上部有兩個可供選擇的下拉式文本框如圖20,其一是關于正組補償或負組補償的選擇框,其二是關于根據前固定組求解還是根據后固定組求解的選擇。如果選擇的是“根據前固定組求解”,該光學軟件在求解變焦系統時,可以根據已知前固定組的焦距值,并以此為起點向后計算,確定變焦組參數,繼而計算系統補償組參數及至后固定組的參數。如果 選擇“根據后固定組求解”的方式,則應由已知后固定組的參數包括后固定組的焦距值以及系統后工作距離的要求,繼而向前求取系統的補償組參數,變焦組參數以及前固定組的參數。兩種計算方式機動靈活,適應不同要求。 此外,為完成自動計算變焦系統高斯光學外形尺寸,還必須給出系統的基本要求,如變焦比、系統最小焦距值(短焦焦距值)、各組分之間的最小間隔尺寸、系統相對孔徑以及系統視場范圍(物高)等數據,這些數據按窗體內的表格要求填寫即可。以上數據填寫完畢,程序會自動計算出系統高斯光學外形尺寸數據,并自動繪出系統示意圖如圖19,同時還可以使用程序工具條中關于“顏色” 、“光線” 、“圖文” 、“動畫”以及“凸輪”等工具,顯示內容如圖21。如果選擇工具條中“圖文”就可以交替顯示外形尺寸的計算數據或系統示意圖,如圖19和圖22。在圖22中列出了各固定組及活動組的焦距值以及變焦系統

高斯計算后的各不同變焦位置的幾何尺寸,如組間隔d,軸上點及軸外點的入射高度h、hp和會聚角u、up等。圖22中的完整數據見表1。 表1 三組元正組補償連續變焦系統高斯計算結果#p#分頁標題#e#

如果選擇“動畫”可以以動畫形式生動地顯示系統變焦過程如圖23。如果選擇“凸輪”就可以顯示該系統變焦組和補償組的凸輪曲線圖如圖24。在OCAD光學設計程序內顯示的圖形都是彩色圖形,有時為了具體需要可以任意修改圖形顏色的背景色或前景色,只要選擇工具條內的“顏色”即可實現。

2.2 初級像差系數自動平衡
前面求出了滿足像面補償以及焦距變化范圍等要求的焦距分配,接著便要考慮校正像差的問題。由于變焦系統比較復雜,應把校正系統像差的工作分成兩個階段進行,也就是首先考慮系統初級像差的校正,然后再考慮初級像差和高級像差的平衡。當然這兩個階段也不能截然分割開來,比如在校正初級像差時還必須要考慮系統可能產生的高級像差預留一部分初級像差等待和高級像差平衡。 連續變焦系統和定焦距系統的關鍵不同還在于,定焦距系統的所有鏡片和透鏡組的結構參數在使用中都是固定不變的,而連續變焦系統的各個固定組和活動組之間間隔會在變焦過程中不斷變化,其像差關系也在不斷變化。因此,對變焦系統不僅要考慮像差的最佳性同時還要考慮其像差的穩定性。為了滿足變焦系統最佳性和穩定性的要求,為簡化對系統像差的要求,可以把整個變焦過程的所有像差集合起來求其平均值和其均方差表達像差的最佳性和穩定性指標。此外,在考慮系統初級像差的校正時要選取兩個中間參數P、W值(通常簡稱PW值)作為求解系統結構參數的必要參數。因此求解PW值的過程就是根據校正初級像差求解系統結構參數的過程。在校正初級像差求解PW值的過程中,可以把在變焦過程中所有各像差系數的加權平均值和均方差值(離散值)集合起來以它們為目標值構造評價函數,使用最小二乘法求解PW值。使用OCAD程序自動計算高斯光學外形尺寸后,接著使用“下一步”按鈕,就可以根據對系統初級像差系數的要求再加上對各組分PW值的權系數自動計算出各組分的PW值如圖25。表2列出的數據是圖25中數據的列表。由計算窗體上可以看出,在填寫初級像差系數時,要求填寫各像差系數的平均值和離散值及其公差內容。對各種初級像差系數的選擇可以通過窗體上的工具條取舍,通常各組分的色差都有各組分單獨消除,一般不需要自動平衡色差系數CⅠ和CⅡ。對像差系數平均值的要求可以控制系統的平均值,但不是最佳值,對其最佳值的控制用其離散值的要求保證。


2.3 系統初始結構求解及雙膠合薄透鏡自動設計
求解完各組分的PW之后接著就可求解他們的初始結構參數,但也不是很輕松的事,因為根據系統不同復雜程度,簡單的光學結構不可能很容易滿足要求,往往需要進一步把系統結構復雜化,也就是把一個組分由一個簡單的單透鏡或雙膠合透鏡復雜化成多組透鏡以分擔他們的像差貢獻。然后再把這樣一個復雜的組分所應承擔的PW值分解成各個單透鏡或雙膠合透鏡的PW值,才便于具體設計系統的結構參數。系統的復雜化過程往往需要多次反復的人工過程。系統過分復雜會影響系統的結構尺寸和系統的生產成本,過分簡單又滿足不了系統的成像質量。各組分之間的復雜化程度不同也會影響系統各組分之間高級像差和初級像差的平衡,依然保證不了成像質量。
一般說來系統的復雜化過程就是把最原始的單透鏡或雙膠合透鏡分成一組或多組的排列,比如可以把他們分配成單透鏡——雙膠合透鏡組合、兩個雙膠合透鏡組合、兩個單透鏡和一個雙膠合透鏡組合甚至還可能需要分解成更多的鏡片的組合才能滿足要求。具體復雜化方法在許多文獻[2]上都有很具體的分析,可借鑒參考。無論把一個組分復雜化成什么程度,其最基本的單元都離不開單透鏡或雙膠合透鏡。因此,初始結構的設計最終還是可以歸納為對單透鏡和雙膠合透鏡的設計。把一個組分的PW值分解成各個單透鏡或雙膠合透鏡后,很容易使用OCAD光學設計程序求解具體結構參數。在OCAD中有專門的自動求解雙膠合透鏡的工具菜單。在選擇“薄透鏡初始結構設計”菜單后,程序界面上會出現如圖26窗體。

在圖26中要求填寫透鏡的焦距、孔徑、系統對該透鏡PW的要求值,再選擇使用玻璃材料的玻璃庫名以及根據系統結構具體情況決定玻璃組合形式是王冕在前還是火石在前。然后點擊“下一步”健,程序自動按對P值精度的要求,自動求解滿足要求的玻璃配對,按P值的大小順序排列在表上,如圖27窗體,此時只要在表中滿足要求的一行上點擊即可選取玻璃配對。

玻璃配對完成后,就可根據系統對透鏡的要求自動計算出透鏡的PW值以及透鏡結構參數,并列于表中,同時還顯示出透鏡的結構示意圖,如圖28。

雙膠合透鏡初始結構參數計算后,還可以根據透鏡的PW實際值和目標值對比,利用圖面上的調節桿對透鏡進行“彎曲”調整。如果還不能滿足設計要求,還可以使用“上一步”健返回到如圖26界面重新選擇玻璃配對,以求得到滿意結果。 根據表2列出的各組分PW計算結果,其中前固定組和兩個活動組可以先使用一個雙膠合透鏡,往往由于后固定組的像差負擔比較重,應該進一步復雜化成兩個雙膠合透鏡分擔PW的要求值。經OCAD自動計算系統中前三個組分的雙膠合透鏡的結構參數,如圖29所示。合起來全系統設計結果如圖30,其初始結構數據如表3所示。
#p#分頁標題#e#


3 系統像差平衡
連續變焦光學系統的像差平衡與定焦距系統的像差平衡有著完全不同的思路,其區別有如下幾方面。
2) 對定焦距系統為改善成像質量,所有表面半徑和間隔都可以作為變量處理,而對于連續變焦系統,首先必須保證所有各固定組和活動組的光焦度以及各組分間的主面間隔嚴格滿足變焦系統的高斯光學關系不變,確保變焦參數和像面位置不變。 為滿足變焦系統在像差平衡時保持其變焦高斯光學關系,首先必須把各組分的光焦度值作為目標值處理,此外在像差平衡過程中由于個作為自變量的表面半徑和間隔的變化,必須隨時調整各可變間隔的近軸間隔,滿足變焦高斯光學的要求。 OCAD光學軟件包在追跡系統光線時,不是靠輸入的可變間隔數據,而是根據變焦方程隨時計算出各變焦位置的可變間隔數據,然后再根據各組分的相應主面位置求解出相應間隔的表面間隔數據,確保各可變間隔的高斯關系不變。所以在使用OCAD建立連續變焦系統數據時,只需要填寫變焦系統初始位置的各可變間隔數據以及變焦組的總移動量,即可隨意計算任一變焦位置的結果,不必一一給定,這樣既方便了光學計算又確保了各可變間隔的準確性。可變間隔的填寫如圖31。圖中既有圖例又有表格便于填寫數據,只要填各表面間隔的對應序號及初始位置的表面間隔數據以及變焦組的總移動量即可。填寫變焦位置數便于計算各不同變焦位置的計算結果,不必一一填寫各不同變焦位置的表面間隔數據,該變焦位置數在使用中還可以隨時修改滿足計算需要。在填寫初始位置的表面間隔有兩種填法,一種是只填寫高斯間隔,實際表面間隔由程序自動換算修改,另一種是填寫實際表面間隔直接使用。

此外,OCAD光學軟件包的像差自動優化是采用雙優選阻尼最小二乘法,以像差目標值和其公差構成評價函數[4][5],在構造變焦系統的評價函數時自動把系統各組分的焦距值作為目標值處理,保證各組分的焦距值在優化過程中始終滿足各焦距值的目標值在規定的公差范圍內。對三組元連續變焦系統,OCAD在構建評價函數時,可自動把各組分的焦距值作為可控像差列于其中,如圖32。圖中最后三行就是變焦部分三個組分的焦距值及其目標值和公差要求。

3) 對定焦距系統而言,只追求系統成像質量最終結果達到最佳狀態,而對連續變焦系統,不僅要求系統成像質量達到最佳,更要求系統成像質量在整個變焦過程中保持穩定。 對于定焦距系統其成像質量由像差,衍射和反差決定清晰度,而變焦系統則由像差,衍射,反差和偏離的變化決定清晰度[1]。為此,OCAD在對連續變焦系統像差優化時采取對各個變焦位置的可控像差取平均值及像差離散度的辦法保證其穩定性和最佳性。這樣對計算連續變焦系統時處理各變焦位置如此繁雜的數據進行了簡化,同時又保證了整個變焦過程中各像差數據的穩定性和最佳性。對三組元連續變焦系統的可控像差的平均值和離散值及其公差要求的數據填寫如圖32。像差自動優化過程評價函數由可控像差的目標值和其公差容限構成[4]。 對連續變焦系統的變焦部分,要求其對系統成像質量的穩定性發揮作用,對后固定組要求其對系統成像質量的最佳性起作用,也就是通過優化變焦部分的結構保證系統像差穩定,通過優化后固定組結構保證系統的像差質量最佳。
4) 對定焦距系統僅由對系統像差的校正要求決定光欄位置,而對于連續變焦系統,不僅由對系統像差的校正要求決定光欄位置,還要考慮系統相對孔徑(曝光速度)的穩定性決定光欄位置。一般情況下,變焦系統的光欄位置都放置在系統的后固定組內,如果確實需要放在活動組內,就必須考慮光欄的具體位置和大小要隨變焦的變化而變化,以滿足系統相對孔徑的穩定性。
5) 定焦距系統有著固定不變的物方視場或像面高度,而對于連續變焦系統,物方視場應隨系統焦距的變化相應改變,確保像面尺寸不變。
3 凸輪曲線優化設計
為保證各活動組分在變焦過程中按設計要求移動以保證其表面間隔尺寸,一般都使用凸輪結構驅動各組分的運動。凸輪曲線優化設計應該分成兩個步驟,首先應按照常規把變焦組的運動曲線設計成直線軌跡,根據補償原理求出補償組的運動曲線。對于一般小變焦比的系統應該就可以滿足使用要求,但對于大變焦比系統或者選取變焦組像面位移曲線或補償原理不合適的系統,可能出現補償組運動曲線過陡現象,使得補償組在運行過程中運動困難或卡滯甚至卡死的現象。為了緩解這一矛盾可進一步對補償組運動曲線進行優化設計。運動曲線的陡度一方面和凸輪鏡筒的直徑和轉動范圍有關,另一方面還和變焦組的運動規律有關。一般情況下為簡化工藝,習慣上都把變焦組曲線設計成直線,但如果是把變焦組的運動曲線修改成不同曲線會明顯改善補償組的曲線陡度。OCAD具備修改變焦組運動曲線改善補償組運動陡度的功能。
3.1 凸輪曲線的一般設計計算
OCAD可以對三組元連續變焦系統進行凸輪優化設計,在輸入三組元連續變焦光學系統的數據之后可從工具條的“設計”中選擇“變焦系統凸輪優化設計” 菜單,界面上出現小窗體如圖33。

從圖31的界面上可以看出,OCAD可以分別對變焦組運動曲線、補償組運動曲線以及變焦過程中系統焦距變化曲線控制成直線、高次曲線以及復合曲線的形式。控制變焦組或補償組的運動曲線是為了改善變焦組和補償組在變焦過程中的運動質量。控制系統焦距變化曲線是為了滿足不同系統對變焦過程中系統焦距變化的使用,比如有的測量系統需要準確度處理變焦過程系統焦距值,必須事先獲得焦距值在變焦過程的準確位置,作出刻度準確讀取。控制變焦組、補償組的運動軌跡為直線以及控制變焦過程中焦距變化為直線關系的設計結果如圖34及圖35所示。一般情況下多數都是把變焦組運動曲線設計成直線方式,無論把變焦組運動曲線設計成直線還是讓補償組成直線主要根據是看那樣對整體運動有利。#p#分頁標題#e#

以上選擇確定或數據填寫完畢之后,只要按“確定”按鈕,便可自動完成凸輪曲線設計工作。設計結果如圖36至圖39。


在圖36中,縱坐標為轉動角度,為便于工藝需要以角度(°)為單位。橫坐標為變焦組和補償組的沿光軸方向移動量。圖37中,橫坐標為變焦組和補償組的運動曲線的斜率值。因變焦組為直線,其斜率(陡度)僅與凸輪運動范圍的總弧長和變焦組總移動量有關,其斜率值為常數。因補償組運動曲線為一曲線,其各點斜率就是在該點處曲線的微分變化量。圖38中,橫坐標為系統在變焦過程中不同變焦位置的實際焦距值。圖39中,給出了凸輪曲線的全部數據,其中包括變焦組和補償組的以變焦起點為坐標原點的坐標值,各對應點的系統焦距值以及變焦組和補償組的曲線升角(曲線陡度),詳細數據可以通過文本框的滾動條閱讀。為了加工方便往往需要在曲線數據兩端多加幾個坐標點作為加工余量,可以在填寫數據時填寫需要前后延伸的加工點數(見表4)。在表中可以看到,計算的100個坐標點中,在前面插入了5個前沿坐標點(從-5到-1),在100個點后又增加了5個后伸點(從100到104)。表4 凸輪曲線設計數據

對圖37中給出的數據還可以直接在界面上進行進一步文字編輯、保存和打印。為了更加靈活的保存和打印計算結果數據,程序還可以方便地保存成Excel的表格形式。操作時只要選擇工具條上“另存入”菜單,選擇“Excel files(*.xls)”文件格式并指定文件名即可。Excel表格形式的文件如圖40。

3.2 凸輪曲線的優化設計計算
按照以上常規方法設計,如果補償組曲線過陡則會影響凸輪正常運轉,因此還須對凸輪曲線作進一步優化設計。凸輪曲線優化設計的主要方法就是改變變焦組凸輪曲線,把變焦組的直線運動軌跡非線性化,即改成各種不同的曲線形狀,適合補償組要求,改善補償組補償環境,降低曲線陡度。 讓變焦組運動曲線非線性化可以采取如下方法。
b) 單純曲線法

所謂單純曲線法,就是用一個高次曲線代替原來的直線運動軌跡。在用高次曲線代替運來直線運動軌跡時必須注意兩條,一是凸輪的總轉動范圍不能變,二是變焦組的總移動量不能變。為此變化后的曲線方成應為

式中a、b、c分別為曲線方程系數,S為凸輪的總轉動角度,x為變焦組隨凸輪轉動角度y沿光軸方向的移動量。為保證變焦曲線的起點和終點數據不變,曲線方程的三個系數必須滿足公式(17)的要求。
![]()
在圖39中填寫的是曲線方程系數的權重A1、A2、A3,其中任一個系數均可以為0。他們與a、b、c,間的關系為

以一個非物象交換原則補償曲線非換根的正組補償,變焦比為10倍的連續變焦系統,圖42為例。圖43是選擇變焦組曲線為直線的凸輪曲線,圖44是該系統把變焦組運動軌跡由直線改為二次曲線的凸輪曲線及曲線斜率的曲線圖。兩者相比效果比較明顯。


c) 復合曲線法
所謂復合曲線,就是把變焦組運動軌跡用兩段曲線對接起來。由以上分析,變焦組像面位移曲線當物距在二倍焦距前后不是對稱的,往往形成前后曲線斜率不等,僅僅把變焦組運動軌跡改成高次曲線雖然可以改善曲線的斜率,但又有可能把本來比較平緩的曲線部分變得較陡。使用復合曲線可以把原來比較平緩部分仍保持直線軌跡,只把原來較陡的部分改成高次曲線局部修正,效果會更好一些。

在圖45的窗體界面上選擇復合曲線,首先要填寫結合點位置,也就是直線段與曲線段的相對接口位置。比如直線段占整個運動軌跡的70%,應填寫結合點位置為0.7。然后填寫曲線段的曲線方程三個系數,其中任一個系數均可以為0。此時復合曲線方程在結合點位置前是直線如公式(18),在結合點以后為曲線部分,曲線方程如公式(19)。

復合曲線的曲線方程系數與其權系數之間關系為
#p#分頁標題#e#
以上參數填寫結束,按動“確定”按鈕立即可以顯示變焦組運動曲線為復合曲線的凸輪曲線設計計算圖形如圖46。

由圖46可以明顯看出,把變焦組運動曲線改為復合曲線后,在短焦部分的曲線斜率又有進一步改善。對于負組補償系統,變焦組由前向后移動時,系統焦距顯示長焦,然后逐步向短焦發展,如果需要改善長焦部分去銜接,可以讓計算過程由后向前計算,仍是先短焦后長焦,利用以上辦法改善短焦部分曲線斜率。反之,如果有以改善短焦部分曲線斜率,可以改變計算順序,利用復合曲線。改變計算順序很簡單,把變焦組的初始位置調整到長物距位置,向前運動,讓變焦組移動步長為負值即可。 圖47為控制系統焦距變化曲線成直線關系的設計曲線。也可以把系統焦距變化曲線按以上辦法調整成任意曲線方式如圖48。

4 結論
連續變焦光學系統的光學設計是個比較復雜的設計過程。本文在全面仔細的消化分析機械補償式連續變焦光學系統的工作原理,在作了大量程序設計基礎上用圖形和公式說理,闡述了連續變焦系統特點,各種變焦和補償的不同工作形式,各種典型結構的機理,變焦方案的選擇以及具體的設計方法。設計方法涵蓋了設計方案的高斯光學外形尺寸計算,初級像差設計與平衡,光學結構參數的確定與計算,實際像差平衡乃至凸輪曲線的設計與優化。在初級像差計算求解PW以及實際像差平衡中使用了像差的平均值及像差離散的理念有效簡化了計算工作量并明顯提高了變焦系統成像穩定性與最佳性的統一。本文在介紹變焦系統設計方法中介紹了可以自動進行三組元連續變焦系統全面優化的OCAD光學設計程序,為變焦系統自動設計提供了獨特而有效的設計工具。
參考文獻
[1] G.·.Back and Herbert Lowen ,“Journal of Optical Society of America”,1958,48,3,149-153。
[2] 電影鏡頭設計組,電影攝影物鏡光學設計,中國工業出版社,1971年。
[3] 陶純堪,《變焦距光學系統設計》,國防工業出版社,1988年。
[4] 姚多舜,光學自動設計雙優選阻尼最小二乘法[J],光學學報1984年,第4卷,第6期。
[5] Todd .C. D. and Maxwell, Aberrational weight adjustment by tolerance based weighting in damped least squares optimization [J],SPIE,1996,2774:89-105.
轉載請注明出處。








相關文章
熱門資訊
精彩導讀





















關注我們




