傳統半導體泵浦固體激光器中產生的熱透鏡效應導致激光光束質量下降,限制功率輸出。微片激光介質通常厚度為100-300μm,在均勻泵浦和冷卻的情況下,介質熱流近似為垂直于薄片表面一維傳導,最大限度地減小熱透鏡效應帶來的熱畸變影響。微片激光器可輸出高光束質量(TEM00高斯模)和單色性好(單縱模,線寬小于5kHz)激光,在通訊、測量、醫療、工業加工、科研及軍事應用等領域有非常重要的應用。
中國科學院上海硅酸鹽研究所人工晶體中心激光與光學晶體課題組副研究員鄭麗和、徐曉東和蘇良碧以及研究員徐軍,提出“強場耦合Yb3+離子準四能級系統”的新概念——利用強場耦合作用增加Yb3+離子的能級劈裂,降低激光下能級的熱布居比例,實現Yb3+離子準四能級激光運轉。在正、偏硅酸鹽系列晶體中篩選出具有最高熱導率(7.5Wm-1K-1)和唯一具有負折射率溫度系數(dn/dT=-6.3´10-6K-1)的Yb:Sc2SiO5(簡稱Yb:SSO)晶體,其基態能級分裂達1027cm-1,并采用提拉法生長出Φ25mm×52mm口徑的晶體。
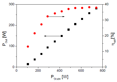
該課題組與上海光機所研究員梁曉燕、山東師范大學教授劉杰、新加坡南洋理工教授D.Y.Tang和德國Stuttgart大學教授T.Graf合作,繼首次實現該晶體激光輸出和超快激光輸出[Appl. Phys. B 91 (2008)443、Optics Express 18 (2010) 16739]后,采用厚度為140μm和150μm的Yb:SSO微片,先后實現75W(M2<1.1) 和280W高光束質量、高功率連續激光輸出[Optics Letters. 37 (2012) 37],298fs、平均功率達27.6W(M2<1.1)的鎖模超快激光輸出[Optics Letters 37 (2012) 4750]。最近,又在該晶體中實現了73fs鎖模超快激光輸出[Optics Communications 294 (2013) 237]。
以上工作得到了國家自然科學基金重點項目和面上項目、上海市基礎研究重點項目、中國科學院上海硅酸鹽研究所科技創新項目等資助和支持。

280W高光束質量、高功率連續激光輸出

298fs、平均功率達27.6W的鎖模超快激光輸出

71fs鎖模超快激光輸出
轉載請注明出處。








相關文章
熱門資訊
精彩導讀





















關注我們




