1. 同質結砷化鎵(GaAs)激光器的特性
(1)伏安特性
GaAs 激光器的伏安特性與二極管相同,也具有單向導電性,如圖(1)所示。激光器系正向使用,其電阻主要取決于晶體體電阻和接觸電阻,其阻值雖然不大,但因工作電流密度大,不能忽視它的影響。
(2)閾值電流密度
影響閾值的因素有:①晶體的摻雜濃度越大,閾值越小;②諧振腔的損耗越小,閾值越小;③在一定范圍內,腔長越長,閾值越低;④溫度對閾值電流的影響很大,半導體激光器宜在低溫或室溫下工作。同質結半導體激光器的閾值電流密度很高.達(3×104~5×104)A/cm2。這樣高的電流密度,將使器件發熱。故同質結半導體激光器在室溫下只能低重復率(幾KHz一幾十KHz)下脈沖工作。

圖(1) GaAs激光器的伏安特性 圖(2) 激光束的空間分布
(3)方向性
由于半導體激光器的諧振腔短小,激光方向性較差,特別是在結的垂直平面內,發散角很大,可達20°~30°。在結的水平面內,發散角約為幾度。圖(2)給出了半導體激光束的空間分布示意圖。
(4)光譜特性
圖(3)是GaAs激光器的發射光譜。其中圖(a)是低于閾值時的熒光光譜,譜寬一般為幾百埃,圖#p#分頁標題#e#(b)是注入電流達到或大于閾值時的激光光譜,譜寬達幾十埃。半導體激光的譜寬盡管比熒光窄得多,但比氣體和固體激光器要寬得多。隨著新器件的出現,譜寬已有所改善,如分布反饋式激光器的線寬,只有1埃左右。

圖(3) GaAs激光器的發射光譜 (a) 低于閾值 (b) 高于閾值
(5)轉換效率
注入式半導體激光器是一種把電功率直接轉換為光功率的器件,轉換效率極高。轉換效率通常用量子效率和功率效率量度。
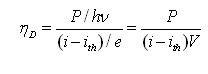
① 外微分量子效率
外微分量子效率定義為
(1)
式中,P是輸出功率,Pth是閾值發射光功率,hv為發射光子能量,i是正向電流,ith是正向閾值電流,e為電子電量。由于P#p#分頁標題#e#比Pth大得多,所以上式可改寫為
(2)
式中V是正向偏壓。由該式可見,ηD實際上對應于輸出功率與正向電流的關系曲線中閾值以上的線性范圍內的斜率。
② 功率效率
功率效率ηP定義為激光器的輸出功率與輸入電功率之比,即
(3)
式中,V是p-n結上的電壓降,RS是激光器串聯電阻(包括材料電阻和接觸電阻)。由于激光器的工作電流較大,電阻功耗很大,所以在室溫下的功率效率只有百分之幾。
2.異質結半導體激光器
由不同材料的p型半導體和n型半導體構成的p-n結叫異質結。為了克服同質結半導體激光器的缺點,提高功率和效率,降低閾值電流,研制出了異質結半導體激光器。
(1)單異質結半導體激光器
單異質結器件結構如圖(4)(b)所示,單異質結是由p-GaAs與p-GaAlAs形成的。電子由n區注入p-GaAs,由于異質結高勢壘的限制,激活區厚度d»2#p#分頁標題#e#m,同時,因p-GaAlAs折射率小,“光波導效應”顯著,將光波傳輸限制在激活區內。這兩個因素使得單異質結激光器的閾值電流密度降低了1~2個數量級,約
(2)雙異質結半導體激光器
雙異質結半導體激光器指的是在激活區兩側,有兩個異質結,如圖(4)(c)所示。

圖(4) 同質結、異質結示意圖
雙異質結激光器激活區內注入的電子和空穴,由于兩側高勢壘的限制,深度劇增,激活區厚度變窄,d»0.5m。同時,由于激活區兩側折射率差都很大,“光波導效應”非常顯著,使光波傳輸損耗大大減小。所以,雙異質結激光器的閾值電流密度更低,可降到102~
轉載請注明出處。








相關文章
熱門資訊
精彩導讀





















關注我們




