
【相關論文】
High temperature tribological properties of the high-hardness wear-resistant Cu-Ni-Al-Sn coatings produced by laser cladding
【相關鏈接】
https://doi.org/10.1016/j.triboint.2024.109645
【亮點】
?通過激光熔覆制備了高硬度耐磨銅-鎳-鋁-錫涂層。
?由于沉淀強化作用,涂層的硬度有所提高。
?摩擦學行為受錫含量和測試溫度的影響。
?在 25-500 ℃下,錫有利于降低摩擦系數和磨損率。
?SnO2、CuO 和 Fe2O3 氧化物層在 300 ℃以上具有耐磨性。
Abstract
利用激光熔覆技術制備了高硬度耐磨銅-鎳-鋁-錫涂層,并研究了錫含量對涂層微觀結構、硬度和高溫摩擦學行為的影響。結果表明,由于Cu9NiSn3、FeNi 和 NiSn沉淀的增強,涂層的硬度從177.6 HV0.3提高到674.0 HV0.3。此外,錫在改善涂層的高溫摩擦學性能方面也發揮了重要作用。在25-200 ℃時,Sn能形成低剪應力膜,降低摩擦系數和磨損率。當溫度超過 300 ℃時,磨損表面會形成含有SnO2、CuO和Fe2O3的氧化物層,從而起到改善摩擦學性能的作用。
Introduction
銅及其合金由于具有優異的機械強度、導電性和導熱性、耐磨性和耐腐蝕性而被廣泛用于高速鐵路、海洋工程和電力。此外,由于設備制造技術的快速發展,對具有增強性能、能夠在高溫、重載和腐蝕條件下運行的銅合金的需求正在上升。然而,銅合金在高溫下的耐磨性差和強度不足限制了其在各種應用領域的應用。幾十年來,銅合金和銅基復合材料在室溫下的力學性能和摩擦學行為得到了廣泛的研究,但對其在高溫下的性能仍然沒有得到足夠的重視。因此,研究銅合金在高溫下的摩擦學性能對于其高溫應用至關重要。
目前,材料強化的基本途徑有:固溶強化、應變硬化、二相強化和晶粒細化。這些技術的本質是將缺陷引入材料中以阻止位錯的運動,作為增強材料強度的一種手段。
本研究采用激光熔覆技術制備了一系列耐熱的Cu-Ni-Al-Sn涂層。主要目的是研究Sn添加對Cu-Ni-Al-Sn涂層的力學和摩擦學性能的影響。此外,該研究還深入研究了測試溫度對這些涂層摩擦學性能的影響,并詳細討論了磨損機理。
Experimental procedures
本研究選擇的基材是 Q235 鋼,這是一種低碳鋼,因其強度、成型性和經濟性的良好組合而聞名。因此,它被廣泛應用于各種工業領域。Q235 鋼的機械性能和主要化學成分詳見表1。標稱成分為Cu17Ni3Al1Fe1Cr1Mn 的基體合金的原材料是使用商用銅、CuAl9 和 CuNi38(45-125 μm,Oerlikon Metco Singapore Pte Ltd. )以及鐵、鉻和錳(45-75 μm,中國國藥集團化工研究院有限公司)粉末制備的。為了改善基體合金的摩擦學性能,還在粉末混合物中摻入了錫(25-45 μm,長沙天久金屬材料有限公司)粉末。激光熔覆前,將混合粉末在 120 ℃的烘箱中干燥 1 小時,以增加其流動性。基體被切割成尺寸為 150 mm×100 mm×10 mm的塊狀。然后,用 Al2O3 砂(粒度范圍:150-350 μm)沿垂直方向對基底進行噴砂,以去除表面氧化層并增加表面粗糙度。然后,在酒精溶液中清洗基底 15 分鐘,以去除現有污染物。

涂層和激光熔覆參數的規格如表2所示。為了簡潔起見,在隨后的討論中,Cu-Ni-Al、Cu-Ni-Al-10% Sn、Cu-Ni-Al-20% Sn、Cu-Ni-Al-30% Sn 和 Cu-Ni-Al-40% Sn 涂層分別縮寫為CS0、CS10、CS30、CS40。

Results and discussion
圖 1 顯示了通過激光熔覆生產的銅-鎳-鋁-錫涂層的 XRD 圖樣。圖 1(a) 中的 XRD 圖譜顯示,CS0涂層主要由α-Cu相組成,而在 CS10、CS20、CS30 和 CS40 涂層中也檢測到了Cu9NiSn3金屬間化合物。放大的XRD圖樣(如圖 1(b)所示)表明,錫的引入改變了 Cu-Ni-Al-Sn 涂層的主相,從 α-Cu 相變成了 Cu9NiSn3 相。此外,由于錫含量的增加,NiSn 相的峰值逐漸增強。CS20 涂層的明場透射電子顯微鏡(BF-TEM)圖像以及圖 2(a)中相應的相映射,有助于深入了解 CS20 涂層的微觀結構和相組成。CS20涂層呈現出共晶結構特征,并存在納米顆粒沉淀。圖 2(b) 所示的選區電子衍射圖(SAED)證實,1 區為α-Cu 相,2 區為 γ-FeNi 相,3 區為 Cu9NiSn3 相,納米級 NiSn 顆粒從 Cu9NiSn3 相中析出。


圖 3 展示了 CS0 和 CS20 涂層橫截面的 BSE 圖像以及蝕刻 CS0 和 CS20 的 SEM 圖像。BSE 圖像顯示,Cu-Ni-Al-Sn涂層與基體冶金結合,沒有明顯的裂縫或缺陷。涂層厚度范圍約為 540-730 μm。高倍掃描電子顯微鏡圖像顯示,CS0 涂層由發達的樹枝狀晶體組成,而 CS20 涂層則由不規則的蜂窩狀晶粒組成。

圖 4 顯示了涂層橫截面的維氏硬度。很明顯,隨著錫含量的增加,涂層的硬度也在增加。此外,基底上的相鄰區域也會因激光能量引起的再熔化而導致硬度增加。CS0 涂層的硬度為 177.6 HV0.3,而CS10、CS20、CS30 和 CS40 涂層的硬度分別為 251.8 HV0.3、362.5 HV0.3、573.8 HV0.3 和 674.0 HV0.3。硬度的增加可歸因于 Cu9NiSn3、FeNi 和 NiSn 沉淀的形成。

圖 5 顯示了制備的涂層在不同溫度下滑動期間的代表性摩擦系數曲線。數據清楚地表明,在銅-鎳-鋁-錫涂層中添加錫后,整個滑動過程中的摩擦系數更低、更穩定。此外,隨著錫含量的增加,摩擦系數趨于穩定所需的磨合時間也在縮短,CS20 和 CS40 涂層分別縮短了約 3 分鐘和 1 分鐘。所觀察到的摩擦系數變化受錫含量和測試溫度的影響很大,這表明潤滑膜的化學成分與磨損機理之間存在密切聯系。

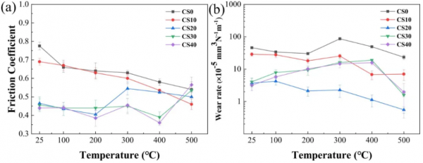
圖 6 顯示了Cu-Ni-Al-Sn 涂層在不同溫度下的高溫摩擦學行為。圖 6(a) 顯示了這些涂層在 25 至500 ℃溫度范圍內與AISI 440 C不銹鋼滑動時的平均摩擦系數。值得注意的是,錫的加入大大降低了涂層的摩擦系數。最初,CS0涂層的摩擦系數在 25 ℃時最高,達到0.78。隨著測試溫度的升高,摩擦系數逐漸降低,最終在500 ℃時降至0.54。與CS0 涂層相比,添加了錫的涂層的摩擦系數隨著溫度的升高而明顯下降。之前有報道稱,軟Sn可在低溫下在磨損表面形成剪應力較低的潤滑膜,并在400 ℃以上形成氧化物膜。然而,含錫涂層的摩擦系數并不會隨著錫含量的增加而持續降低。在 200 ℃以下,CS20、CS30和 CS40的摩擦系數相近,在0.38至0.46之間。值得注意的是,測試溫度對摩擦系數的變化影響很大。具體來說,CS0 和 CS10 涂層的摩擦系數隨著溫度的升高而降低。相比之下,CS20、CS30 和 CS40 涂層的摩擦系數隨溫度升高有很大變化,在 300 ℃時達到轉折點。例如,CS20的摩擦系數在 300 ℃達到峰值,最大值為0.56,而CS30和CS40則在 500 ℃達到峰值,分別為0.54和0.57。

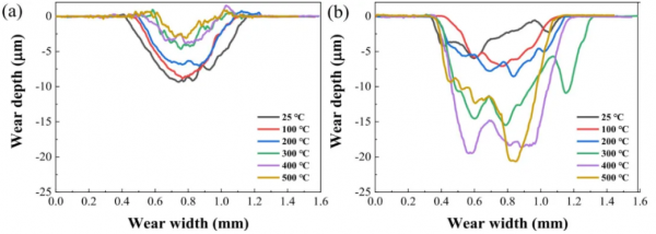
圖 6(b)顯示了 Cu-Ni-Al-Sn 涂層在25-500 ℃溫度范圍內與AISI 440 C不銹鋼滑動磨損率的變化。結果表明,添加Sn能顯著提高Cu-Ni-Al-Sn 涂層的耐磨性。CS20涂層的磨損率隨著溫度的升高而降低,而其他涂層的磨損率最初會隨著溫度的升高而升高,隨后會降低。在25至 500 ℃的溫度范圍內,CS0涂層的磨損率最高,而CS20涂層的耐磨性更好。為了獲得最佳的耐磨性,Sn的含量應保持在 20 wt.% 左右。從 25 ℃到 200 ℃,可以觀察到 CS0 和 CS10 涂層的磨損率都隨著溫度的升高而降低。隨后,磨損率在300 ℃ 時達到峰值,CS0和CS10的磨損率分別為 8.6×10-4mm3N-1m-1和2.5×10-4mm3N-1m-1。CS30 和 CS40 涂層在 400 ℃時達到最大磨損率,數值在 (1.6-1.9) ×10-4 mm3N-1m-1 之間。CS20 涂層的磨損率峰值出現在 100 ℃時,達到 4.2×10-4 mm3N-1m-1,然后隨著溫度繼續升高而穩步下降。溫度達到 500 ℃時,磨損率降至5.5×10-4 mm3N-1m-1。圖 7 顯示了CS20和CS40涂層磨損軌跡的橫截面剖面圖。很明顯,CS40 涂層的磨損痕跡深度和寬度都超過了CS20涂層,因此CS20涂層表現出更優異的耐磨性,在300至500 ℃試驗溫度范圍內,其磨損率比CS30和CS40涂層低一個數量級。

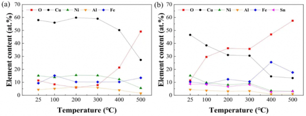
結果表明,錫的含量和測試溫度對 Cu-Ni-Al-Sn 涂層的高溫摩擦學特性有很大影響。在 Cu-Ni-Al合金中添加 Sn 會形成 Cu9NiSn3、FeNi 和 NiSn 沉淀,從而提高硬度。根據Archard 公式,硬度越高,耐磨性越好。同時,Sn在低溫下可作為潤滑劑降低摩擦系數和磨損率。而在滑動過程中形成的氧化物層則能在高溫下起到潤滑作用。為了闡明不同溫度下的磨損機理,使用 EDS 和拉曼光譜分析對受到磨損的表面進行了進一步表征。圖 14 顯示了不同溫度下磨損表面化學成分的變化。可以發現,當測試溫度從25 ℃ 升至 500 ℃時,CS20 磨損表面的 O 含量明顯增加。特別是當溫度超過 300 ℃時,O 含量明顯增加。超過 300 ℃時,CS0 涂層的 O 含量也明顯增加。這一現象表明在摩擦過程中形成了三氧化層。在25-300 ℃時,磨損表面的錫含量基本保持不變。然而,當溫度進一步升高時,錫含量開始下降。

圖 15 顯示了 200-500 ℃時磨損表面的拉曼光譜。CS0 和 CS20 涂層在 300-500 ℃的拉曼光譜中檢測到了 CuO 的峰值,只有在 CS20 涂層表面檢測到了 SnO2 和 Fe2O3 的峰值。在 200 ℃時,磨損表面沒有出現嚴重的氧化現象,這表明 Sn 的潤滑作用可持續到 200 ℃。結合不同溫度下磨損表面化學成分的變化(圖 14),可以確定在25至200 ℃的溫度下,磨損表面可以形成穩定的錫潤滑膜。根據歷史研究,錫元素可在低溫條件下提供有效的潤滑。

因此,主要的抗磨機理是在 25-200 ℃之間形成低剪切應力錫膜。隨著溫度的不斷升高,測試溫度會顯著影響銅-鎳-鋁-錫涂層的摩擦學特性,這與氧化過程和氧化產物有關。值得注意的是,摩擦熱會在兩個表面的局部接觸處產生高溫。這些熱量會使涂層和對應物在空氣中軟化和氧化。圖 16 顯示了 CS20 涂層在 25 ℃和 300 ℃下干滑后截面的 SEM 圖像和 EDS 圖譜。在 300 ℃時,可以看到磨損表面形成了厚度約為 4-5 μm的三氧化二氮層。事實上,磨損碎片在與對應物的滑動過程中被壓縮,導致在磨損表面形成致密的三氧化物層,致密的三氧化物層大大減少了涂層與對應物之間的實際接觸。結果證實,三氧化物層主要由 CuO、SnO2 和 Fe2O3 組成。據報道,CuO 和 SnO2 等金屬氧化物可用作潤滑劑。因此,主要的抗磨機理是由于形成了由 SnO2、CuO 和 Fe2O3 組成的三氧化物層。

Conclusions
本研究采用激光熔覆技術制備了銅-鎳-鋁-錫涂層。研究表征了錫添加對涂層微觀結構和硬度的影響,并評估了涂層在 25-500 ℃下的高溫摩擦學性能。這些研究得出了以下結論:
(1) 隨著錫含量的增加,銅-鎳-鋁-錫涂層的硬度從 177.6 HV0.3 顯著增加到 674.0 HV0.3。這種提高主要歸因于Cu9NiSn3、FeNi 和 NiSn 沉淀的固溶和第二相強化。
(2) 錫的含量對銅-鎳-鋁-錫涂層的摩擦學性能有很大影響。增加涂層中的錫含量有利于降低摩擦系數和磨損率。然而,當該含量超過 20 wt.% 時,由于嚴重的粘著磨損,磨損率會再次增加。
(3) 主要的抗磨損機理隨著溫度的升高而發生轉變。在 25-200 ℃時,主要的抗磨機制是形成低剪切應力 Sn 膜。然而,當溫度超過 300 ℃時,主要的抗磨損機制是形成由 SnO2、CuO 和 Fe2O3 組成的三氧化物層。
轉載請注明出處。








相關文章
熱門資訊
精彩導讀





















關注我們




