傳感器技術、成像、雷達、光探測技術及測距技術(激光雷達)、電子技術和人工智能的進步,使數十種先進的駕駛員輔助系統(ADAS)得以實現,包括防撞、盲點監測、車道偏離預警和停車輔助等。通過傳感器融合實現這些系統的同步運行,可以讓完全自動駕駛的車輛監視周圍環境,并警告駕駛員潛在的道路危險,甚至采取獨立于駕駛員的躲避行動以防止碰撞。
自動駕駛汽車還必須在高速狀態下區分和識別前方的物體。通過測距技術,這些自動駕駛汽車必須快速構建一張約100m距離內的三維(3D)地圖,并在高達250m距離范圍內創建高角分辨率的圖像。如果駕駛員不在場,車輛的人工智能必須做出最佳決策。
完成這一任務的幾種基本方法之一,就是測量能量脈沖從自動駕駛車輛到目標再返回車輛的往返飛行時間(ToF)。當知道“脈沖”通過空氣的速度時,就可以計算到反射點的距離——脈沖可以是超聲波(聲納)、無線電波(雷達)或光(激光雷達)。

美國西部光電展中濱松探測器激光雷達應用演示
使用APD制成的DEMO即使用的ToF法
在這三種ToF技術中,激光雷達是提供更高角度分辨率圖像的最佳選擇,因為它具有更小的衍射特性和光束發散度,可以比微波雷達更好地識別相鄰物體。這種高角度分辨率在高速下尤為重要,可以提供足夠的時間來應對潛在的危險,如迎面碰撞。
在ToF激光雷達中,激光發射持續時間為τ的脈沖,在發射瞬間觸發定時電路中的內部時鐘(下文有圖示)。從目標反射的光脈沖到達光電探測器,轉換產生電信號輸出使時鐘停止計時。這種測量往返ToF Δt時間的方式可以計算到反射點的距離R。
如果激光和光電探測器實際上位于同一位置,則距離由下公式確定:

中c是真空中光速,n是傳播介質的折射率(對空氣來說大約為1),影響距離分辨率ΔR的因素有兩個:測量Δt時的不確定度δΔt和脈沖寬度的導致的空間誤差w(w = cτ)。
以第一個因素代表測距分辨率ΔR=1/2 cδΔτ,而以第二個代表測距分辨率ΔR=1/2 w = 1/2 cτ。如果以5cm的分辨率測量距離,上述關系式分別意味著δΔt大約為300ps,τ大約為300ps。
飛行時間激光雷達要求光電探測器和其后的電子學系統具有很小的時間抖動(δΔτ的主要貢獻因素)以及能夠發射短脈寬時間的脈沖激光器,例如相對昂貴的皮秒激光器。目前典型的汽車激光雷達系統中的激光器產生約4ns持續時間的脈沖,所以減小光束發散是必要的。

光束發散取決于波長和發射天線尺寸(微波雷達)或透鏡孔徑大小(激光雷達)的比值。微波雷達這一比值較大,因此發散度更大,角度分辨率較低。圖中微波雷達(黑色)將無法區分這兩輛車,而激光雷達(紅色)可以。
對汽車激光雷達系統設計者來說,最關鍵的選擇之一是光波長。制約這一選擇的因素有幾個:
· 對人類視覺的安全性
· 在大氣中的傳播特性
· 激光的可用性和光電探測器的可用性
兩種最流行的波長是905和1550 nm,905nm的主要優點是硅在該波長處吸收光子,而硅基光電探測器通常比探測1550 nm光所需的銦鎵砷(InGaAs)近紅外探測器便宜。

可用于自動駕駛激光雷達的濱松近紅外MPPC(硅光電倍增管),在905nm處具有較高的探測效率,響應速度快,工作溫度范圍寬,適合各種場合下的激光雷達應用,尤其是使用TOF測距法的長距離測量。
詳情點擊:自動駕駛激光雷達想be better?你需要認識一個新伙伴了!
然而,1550nm的人類視覺安全度更高,可以使用單脈沖更大輻射能量的激光——這是光波長選擇的一個重要因素。

1550nm探測器
濱松InGaAs APD G8931
大氣衰減(在所有天氣條件下)、空氣中粒子的散射以及目標表面的反射率都與波長有關。由于有各種各樣可能的天氣條件和反射表面,對于這些條件下汽車激光雷達波長的選擇來說是一個復雜的問題。在大多數實際情況下,905 nm處的光損失更小,因為在1550 nm處的水分的吸收率比905 nm處要大。1
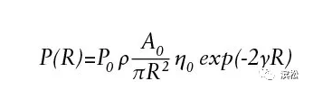
只有一小部分脈沖發射的光子可以到達光電探測器的有效區域。如果大氣衰減沿脈沖路徑不變化,激光光束發散度可忽略不計,光斑尺寸小于目標,入射角垂直于探測器且反射體是朗伯體(所有方向均反射),則光接收峰值功率P(R)為:

P0是發射激光脈沖的光峰值功率,ρ是目標的反射率,A0是接收器孔徑面積,η0是光學系統透過率,γ是大氣消光系數。
該方程表明,隨著距離R的增加,接收功率迅速減小。為了合理選擇參數,R=100 m,探測器的活動區域上返回光子的數量大約是幾百到幾千,而通常發射的光子超過1012。這些回波光子與背景光子同時被探測,而背景光子沒有任何有用信息。
采用窄帶濾波器可以減少到達探測器的背景光,但不能減少到零,背景光的影響使檢測動態范圍減小,噪聲(背景光子拍攝噪聲)增大。值得注意的是,典型條件下地面太陽輻照度在1550 nm處小于905 nm。

飛行時間(ToF)激光雷達的基本原理示意
在一輛汽車周圍360°×20°的區域內創建一張完整的3D地圖需要一束經過光柵分光后進行掃描,或多束激光束掃描,再或者將光束整個覆蓋住需要的范圍并收集返回的點云數據。前者被稱為掃描(scanning)激光雷達,后者稱為閃光(flash)激光雷達。
掃描激光雷達有幾種方式。第一種方式,以Velodyne為例(San Jose, CA),在頂部安裝激光雷達平臺,該雷達以300~900 rpm的速度旋轉并發射出64路905 nm激光的脈沖。每束光束都有一個對應的雪崩光電二極管(APD)探測器。較類似的另一方法是使用旋轉的多面鏡,每個面的傾斜角度略有不同,從而以不同的方位角和斜角引導反射單個脈沖光束。這兩種設計中的機械運動部件都有外部駕駛環境惡劣時的故障風險。

濱松新型百米級自動駕駛激光雷達探測器
16ch 硅APD S14137-01CR
第二種更緊湊的掃描激光雷達,其方法是使用一個微型微機電系統(MEMS)振鏡,以二維的方向電引導出一束或多束光束。雖然在技術上仍然有運動部件(振蕩鏡),但振蕩的幅度很小,頻率也很高,足以防止MEMS振鏡和汽車之間的機械共振。然而,振鏡的幾何尺寸限制了它的振蕩幅度,這就使得視角變得有限——這是MEMS方法的一個缺點。然而,這種方法由于成本低、可實現度高而受到人們的關注。

濱松最新MEMS Mirror產品
剛剛在慕尼黑上海光博會中展出
光學相控陣列(OPA)技術,是第三種參與競爭的激光雷達技術,它以可靠的“固定部件”設計而日益流行。它由相干光照明的光學天線組成的陣列構成。光束轉向是通過獨立地控制每個單元發光時的相位和振幅來實現,從而于遠場處干涉產生理想照明方向,實現從單光束到多光束的變化。不幸的是,光的損失限制了各種OPA組件的可用范圍。
閃光激光雷達將目標場景中充滿光,而照明區域與探測器的視場相匹配。探測器是探測光學焦平面上的APDs陣列。每個APD獨立測量其上圖像目標特征的ToF。這是一種真正的“不移動部件”的方法,其中切線方向(垂直、水平)分辨率受到二維探測器像素尺寸的限制。
然而,閃光激光雷達的主要缺點是回波光子數量:一旦距離超過數十米,返回光的數量就太少,無法進行可靠的探測。如果不是直接用光覆蓋所有探測環境而是采用結構光的形式(例如點陣形式),且犧牲一定的切線分辨率,則可以提高回波光強度。此外,垂直腔面發射激光器(VCSELs)使得在不同方向同時發射數千束光束的出射成為可能。

濱松可用于激光雷達的光半導體探測器對比
報告:面向自動駕駛Lidar的核心半導體器件介紹

ToF激光雷達由于其回波脈沖較弱、探測部分電子學設計的寬帶較寬而容易受到噪聲的影響,而閾值觸發則會產生Δt的測量誤差。因此,調頻連續波(FMCW)激光雷達是一種很有意義的替代方法。
在FMCW雷達或啁啾調制雷達中,天線連續發射頻率被調制的無線電波。例如,隨著時間T從ƒ0線性增加到ƒmax,然后隨著T從ƒmax線性減小至ƒ0。如果波在一定距離內的移動物體上反射回發射點,其瞬時頻率將與該瞬間發射的無線電波不同。這一差別由兩個因素導致:到物體的距離及其相對徑向速度。可以通過電子測量方法得到頻差,同時計算物體的距離和速度(見下圖)。

在啁啾雷達中,通過電子測量fB1和fB2,可以確定與反射目標的距離及其徑向速度。
在啁啾雷達的啟發下,FMCW激光雷達可以通過不同的方式獲得。在最簡單的設計中,人們可以啁啾地調節照亮目標的光強。這個頻率受FMCW雷達載波頻率的相同規律(例如多普勒效應)的影響,返回的光被光探測器探測到并恢復調制頻率,輸出被放大并與本身振蕩頻率混頻從而允許測量頻移,并由此計算出目標的距離及其速度。
但是FMCW激光雷達有一定的局限性,與ToF激光雷達相比,它需要更多的計算能力,因此在生成全三維環繞圖時速度較慢,而且測量精度對啁啾時調制時的線性度程度非常敏感。
雖然設計一種功能完善的激光雷達系統具有挑戰性,但這些挑戰都不是不可克服的。隨著研究的繼續,我們越來越接近于大多數汽車生產結束后就能夠完全自動化的時代。
轉載請注明出處。








相關文章
熱門資訊
精彩導讀





















關注我們




