1 引言(Introduction)
激光焊接作為新的焊接工藝方法在汽車制造領域有大量成功的應用,顯示出激光焊接強大的生命力和非常廣闊的應用前景.采用并聯機構可以進一步提高機器人的負載/自重比,改善機器人的運動特性,使其結構更加靈巧.利用并聯機構剛度大、運動慣性小、精度高等優點,實現高精度激光焊接加工,這是并聯機器人技術向激光焊接領域的拓展.
傳統的數控加工軌跡控制概念都建立在笛卡兒坐標系中,而并聯機器人的軌跡控制是由若干桿件的空間運動綜合而成的,若使機器人加工末端點實現所需要的運動,則必須在兩者之間進行坐標轉換.另外,并聯機器人的結構和配置形式的多樣化使傳統數控的封閉式結構不能滿足其需求,因此并聯機器人的控制系統必須是開放式結構.
本項目研制的并聯機器人控制系統是以Linux 24.20+實時內核RTLinux3.1作為實時軟件平臺的全軟件開放式數控系統,該系統以C語言為編程語言編制數控系統軟件.由于引入了實時多任務機制,采用開放式的結構框架,因此它可以實現特殊機構構型并聯機器人的高速、高精度控制.該系統適用于激光焊接、切割等對精度要求較高的加工應用,其關鍵難點技術的研究突破,對于進一步開發激光焊接并聯機器人系統并實現其產業化具有重要意義.
2 系統組成(Components of the system)
并聯機器人數控系統是一個實時多任務軟件系統,它可以分為實時任務層和非實時任務層兩層.實時任務層包括插補計算模塊、位姿正反解模塊、速度處理模塊、電機控制模塊、軟PLC模塊、故障診斷及處理模塊等直接與數控加工相關的、對實時性要求較高的功能模塊,此層由RTLinux 實時子系統來處理;除此之外,對實時性要求不高的功能模塊,如人機交互模塊、參數配置模塊、代碼解釋模塊、加工模擬模塊、文件管理模塊等,為非實時任務層,由普通Linux內核控制,數控系統軟件功能結構如圖1所示.這樣分層的好處是使實時任務和非實時任務運行在不同的進程空間,便于保證系統的實時性,系統層次分明,增強了開放性和靈活性,可以適應多種實際應用.

圖1 數控系統軟件結構
本數控系統以Linux2.4.20 + RTLinux3.1為操作系統,PC機為平臺,上述的各種功能均由軟件完成,與外部伺服相連接的軸控制卡只是將PC機的數字量轉換以后輸出給伺服系統,并將外部的反饋信息送入PC機,并不進行任何的計算.數控系統硬件結構如圖2所示.

圖2 數控系統硬件結構
3 位置正反解模塊的實現(Realization of the forward and inverse displacement modules)
上述功能中,不同于傳統數控系統之處在于系統中需要根據機械結構實際的機構模型嵌入特定的位姿正反解模型.因此,建立正確的正反解模型至關重要.
3.1 建立正反解幾何模型
機器人機構簡圖如圖3所示,在本文所述的機構中,將光軸位姿參數(虛軸坐標)換算到驅動坐標位置(實軸坐標)稱為反解運算.

圖3 機器人機構簡圖
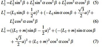
設定L2分支中繞X 軸旋轉虎克鉸的旋轉角度為α,繞Y軸旋轉虎克鉸的旋轉角度為β,3個分支的桿長分別為L1、L2、L3,串聯關節回轉轉動副和俯仰轉動副的轉角分別為γ和θ ,則由位姿坐標變換可得到:
(1)
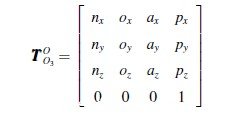
已知機器人末端執行器相對于固定參考坐標系O-XYZ 的位姿矩陣:
(2)
求解此矩陣方程可得α、β 、γ 、θ 、.
根據求解得到的α、β 和L2,將Ts2O 和TO1O求解出來.得到S2和O1在固定參考坐標系O-XYZ 中的坐標,則得到下式:

在固定平臺OB1B3中,OB1B3 為已知三角形,則很容易得到其他兩桿長度為:
(4)
正解過程與反解過程正好相反:已知機器人的關節變量L1、L2、L3和γ 、θ ,求解機器人末端位姿矩陣.
根據關節變量L1、L2和L3 ,以及B1、O、B3 點坐標,列距離方程可以求解到L2分支繞X 軸和繞Y軸的旋轉角度α和β .其求解方程如下:

根據得到的α和β ,將已知的L2、γ 、θ 代入到位姿變化矩陣,即可將機器人的末端位姿矩陣求解出來,完成運動學正解.
3.2 正反解多解問題
在求解并聯機器人正反解方程的過程中存在方程多解問題:在正解計算中一組實軸坐標對應兩組虛軸坐標,其中有一組虛軸坐標位于靜平臺(平面)上方,可舍去;在反解計算中一組虛軸坐標對應兩組實軸坐標,由于本系統具有驅動軸(實軸)單軸手動功能,如果直接舍去反解計算的一組實軸解,會造成手自動切換時系統伺服軸跟隨誤差出界.產生這種情況的原因是:實軸在單軸手動時可能進入被舍棄的實軸解空間,而實軸單軸手動時系統是不進行反解計算的,因此不會發生報警事件;而在切換到自動狀態時反解生效,但實軸解為另一組解,由于理論值與實際值相差很大,造成跟隨誤差出界報警(如圖4 所示).

圖4 手自動切換過程示意圖
為了解決反解多解問題,在反解模塊中引入變量來讀取實軸實時坐標(),將其與反解計算值() 進行比較,取最接近實軸實時坐標的那組解作為輸出,經過處理后驅動實軸運動.為了節省運算時間,此判斷過程只在實軸單軸手動切換到自動狀態時生效,判斷過后一直采用選中的那組解的解析表達式計算實軸坐標,直到下次切換.
3.3 旋轉軸“過零”問題
第4 軸(旋轉軸)在經過0°點時,會出現突然反轉現象:在并聯機器人作加工時,在某些位置需要從359.999°運動到0.001°,加工過程只需要旋轉軸運動0.002°,而實際情況是旋轉軸轉動大弧359.998°,產生這種現象的原因是系統將旋轉軸當作線性軸來處理,而反解計算只能計算0°到360°的半閉半開區間,旋轉軸到360°就會歸零.這是加工所不需要的,系統也不可能在一個插補周期內完成一周的轉動.#p#分頁標題#e#
為解決此問題,將第4 軸反解計算值與當前實時坐標相減,然后按下式修正計算值:
(8)
式中為修正后的第4軸坐標,為修正前的第4軸坐標計算值,為第4軸的當前實時坐標,| |為向上取整符號.
3.4 加工曲線生成問題
對于5 自由度加工,人工編程有很大難度,而現有的計算機輔助制造(CAM)軟件沒有針對并聯機構的模塊.為利用現有的CAM 軟件進行加工編程,在位姿正反解模塊中加入轉換模塊,將CAM 中給定的結構和正反解輸入輸出坐標相互轉化.操作者可根據不同的CAM 軟件定制不同的轉換模塊.
以UG的五軸雙擺頭結構X、Y 、Z、A、B為例說明轉換模塊的轉換過程.首先,為簡化轉換過程,將第4、第5軸偏置設為0,這樣UG在轉換時就不考慮刀長,那么UG 輸出代碼中的X、Y 、Z與并聯結構的需求一致,不需要再作轉換.我們只需要對刀軸姿態進行轉換:設單位刀軸矢量在X 軸的投影
為I、在Y軸的投影為J、在Z 軸的投影為K,A為主擺角,B為副擺角,刀具軸在Z軸上,通過數學推導可得出反解模塊的刀軸矢量和A、B的關系如下(式中i、j、k依次為矢量I、J、K的模,A、B依次為轉角A、B的角度值):
(9)
同樣可得出正解模塊的轉換關系為:

4 插補算法的設計(Design of the interpolationalgorithm)
用并聯機器人進行激光加工主要是控制激光焦點的運動,并保持激光處于工件當前加工點的法線方向.并聯機器人是由復雜的空間機構組成的,激光光軸位姿參數與控制系統驅動坐標位置之間需要經過坐標變換,從而獲得控制所需的幾何描述.因此,并聯機器人的插補方式與傳統數控也有所不同.
本系統插補計算將機構末端的運動軌跡離散為一系列首尾相接的小線段:給定一個插補周期(作為系統參數,用戶可設定),按照指令中給出的軌跡進給速度,單獨計算各軸方向上的位移增量,將連續的軌跡離散為若干離散點序列,然后應用S型加減速算法,對插補步長進行修正.利用反解模塊將插補生成的離散點映射到關節空間,系統根據反解模塊計算結果驅動伺服電機運動.
5 激光工藝模塊設計及實現(Design and realizationof the laser processing module)
并聯激光加工數控系統還要包括激光工藝模塊,該模塊用于設置和調整激光加工工藝參數,包括激光功率控制、離焦量控制、偏距控制、激光器狀態等
參數,如圖5 所示.

圖5 激光加工參數界面
激光功率設定參數是通過軸控制板發送給激光器的,激光器將此參數作為輸出功率曲線的幅值.離焦量是指焦平面與被焊工件上表面的距離,這里將離焦量作為激光焦點和第5軸旋轉中心距離的修正參數,傳遞給正反解模塊.光束中心偏離加工軌跡的距離叫偏距,偏距設置用于XY 、YZ、ZX平面加工.這里規定光束中心在加工軌跡右側偏距為正值,左側為負值.
6 實驗與結論(Experiment and conclusion)
使用便攜式三坐標測量機對并聯機器人末端精度進行檢測.并聯機器人末端由(0;400;0;0;0) 沿直線運動到(1000;400;0;0;0),測出誤差如圖6 所示(圖中橫坐標為X 軸位置坐標,縱坐標依次為X、Y 、Z軸位置誤差和單位激光光軸矢量在X軸的投影I、在Y 軸的投影J、在Z 軸的投影K 的差).

圖6 并聯機器人位姿誤差曲線
并聯機器人具有機械結構簡單、控制系統復雜的特點,需要根據不同的結構形式設計不同的控制系統.本系統的開放式設計可提高開發效率,降低開發成本,使并聯數控系統的開發、維護和推廣變得更加容易.實驗證明本文開發的基于RTLinux 的五自由度并聯激光焊接數控系統性能達到了激光焊接的實際應用要求.
轉載請注明出處。








相關文章
熱門資訊
精彩導讀





















關注我們




