4 故障現象及原始處理過程
4.1 并網超時故障
(1) 故障現象
并網超時是調試階段、和投產初期較常出現的一個故障。主要現象是,轉速接近1000r/min后,不能并網導致起動超時失敗;在整步階段的勵磁電流為85a到130a之間,明顯大于加速階段的70a到75a之間。
(2) 故障分析
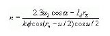
根據同步電動機的轉速公式可知:
式中:n電機的轉速;
u2整流器的輸入電壓;
α整流器的移相控制角;
id直流回路的電流;
r0逆變器的換相超前角即每相電流的起始點相對于該相自然換相點的角度;
u逆變器的換流重疊角;
φ氣隙磁通。
轉速n與氣隙磁通φ成反比,如果氣隙磁通φ過大,將會抑制轉速的上升,使轉速達不到額定值,使并網超時起動失敗。經分析、測試整步并網階段勵磁電流偏大有兩個主要原因:
l如前所述,當進入整步并網階段時,勵磁的控制方式由恒磁通轉為以電網電壓為目標調節電機端電壓。其指標是使電動機端電壓u端與電網電壓u網的誤差在2%以內。當轉速n大于95%時由加速階段切換到整步階段,由于電壓上升速度遠快于轉速上升速度,這樣就導致n約為95%時,u端=(100%-2%)u網,也就是氣隙磁通φ偏大,即勵磁電流偏大,而且只要u端在(100%±2%)u網范圍內勵磁電流不再進行調整,最后使n=100%時,電機的端電壓在上限值附近。
2對同步繼電器進行測試發現其電壓幅值匹配明顯不合理,其幅值匹配是1.05u網=u端。加前一因素的影響,使并網電壓幅值控制目標實際是1.07u網=u端,導致勵磁電流過大,其他情況稍有變化,轉速n就達不到額定值,使并網失敗。#p#分頁標題#e#
(3) 對策措施
根據這一情況把同步繼電器的電壓幅值匹配調整為0.975u網=u端,整步階段勵磁電流明顯下降,為70a到85a之間,消除了并網失敗現象。
4.2 編碼器故障
(1) 故障現象
2001年7月1日,因其它故障導致三燒結1#、2#主排同時停機,主排具備起動條件后,起動1#主排,在起動過程中逆變控制單元mc2315出現“err2”故障(零電流超時),使起動失敗。然后起動2#主排,同樣故障起動失敗。
(2) 故障分析
零電流超時通常是因為轉子位置檢測錯誤或mc2315板故障引起的。這里采用光電編碼器測量轉子位置及轉速,此類裝置耐高溫能力差,由于連續高溫天氣,環境溫度過高,持續在65°以上。根據點檢檢查記錄,編碼器信號7、8通道已經不是標準方波,性能顯著劣化。基本可以斷定故障是因為編碼器信號紊亂引起。由于更換編碼器時間較長,可以考慮先冷卻編碼器,觀察使用效果,再決定是否更換編碼器。
觸發角取消在同步馬達正常運轉時,編碼器的測速功能,關閉編碼器電源。同時改善廠房內通風條件,降低環境溫度。延長編碼器壽命。
4.3 晶閘管短路故障
(1) 故障現象
2001年7月某次工事結束,起動1#主排,發現電動機不動,按緊停按鈕終止起動。進行一些檢查后,起動2#主排,故障現象不變。具體現象是:電動機勵磁投入后,電動機聲音反應正常(有電流通過)。主回路投入后,電動機聲音反應正常,但不轉動。起動裝置的直流電流顯示與設定的440a略有偏差。
(2) 故障分析
起動1#主排電動機不動。造成這種情況的可能原因有:沒有勵磁電流或勵磁電流不足,沒有主回路電流或主回路電流不足,編碼器位置檢測不正確,還有電動機本身問題造成起動力矩不足。
由于在歷次及最近的定修中,電動機的機械、電氣參數完全正常,而且又是兩臺電動機同樣故障,在這里可以暫不考慮電動機本身。勵磁盤電流顯示正常,電動機的二極管故障沒有報警,勵磁電流投入時電動機聲音正常,可以認為勵磁回路正常。
首先更換編碼器,但更換編碼器后起動1#主排故障現象不變,說明與編碼器無關。電動機電流的聲音反應正常,說明電流確實流過定子線圈。我們發現三相交流進線電流不平衡。對整流器進行檢查,發現軟起動裝置整流橋中1#晶閘管短路。更換晶閘管,啟動裝置運行正常。#p#分頁標題#e#
對降壓變壓器、晶閘管進行檢查,發現軟起動裝置整流橋1#晶閘管短路,整流橋原理圖如圖2所示。

該裝置中,整流器采用速度、電流雙環控制,沒有直接檢測直流回路的電流,而是通過檢測交流回路的電流來計算直流電流。整流橋晶閘管的工作順序依次是12、23、34、45、56、61,如果1#晶閘管擊穿,在12導通期間,直流回路有電流流過,從而在電機的定子線圈中有電流流過。由于啟動電流限幅在20%,而電機的速度為零,即反電勢為零,所以整流器晶閘管觸發角比較大。觸發3#晶閘管時,由于ab相經由1#、3#晶閘管短路,直流回路沒有電流通過。降壓變壓器短路阻抗很大(8.6%),限制了短路電流;同時,由于交流電流增大,系統計算出直流電流反饋增大,控制系統通過調節,及時地調節晶閘管的觸發角,在下一個晶閘管觸發時,觸發角很大,限制了交流電流的持續增大,所以相應的晶閘管、快熔沒有發生連鎖反應損壞。由于實際流進電機的電流不大,使得電動機不能起動。
(3) 故障教訓
由于直流電流表的波動沒有及時觀察到,客觀上加大了故障處理難度。以及由于潛意識認為,晶閘管短路會發生相關晶閘管及對應快熔的連鎖反應,使故障擴大化,所以主觀上也沒有重視晶閘管擊穿的可能,也在一定程度上增加了故障處理時間。但實際上由于采用了高漏感的專用變壓器,發生短路事故時,限制了短路電流,同時電流給定只有額定的20%,限制了α角,也減輕了短路電流的損害。
(4) 對策措施
每次主排起動前,必須測量晶閘管阻值;啟動過程中對三相電流進行監控。
5 結束語
寶鋼三燒結主排氣風機在投產初期,起動失敗故障較多,以上是幾個比較典型的故障。我們沒有依賴于外方,獨立自主地解決系統中存在的問題。除了采取了前述的措施外,還在定修中,按計劃分部對所有的備件進行在線調整試驗,保證完好備件供應,以及熟悉設備性能。在最近三年中,已經沒有發生起動失敗故障。
變頻起動大型同步電動機,起動平穩,對電網也完全沒有沖擊,可靠性高,國內外已應用得相當廣泛。此類設備的維護、故障處理也成為一個重要的研究課題,如果方法、措施得當可以有效降低設備維護成本,減少故障時間。
轉載請注明出處。








相關文章
熱門資訊
精彩導讀





















關注我們




