近期,中國科學院上海光學精密機械研究所強場激光物理國家重點實驗室在基于激光尾波場加速電子束發射度診斷方面取得重要進展。研究團隊提出了一種電子束橫向切片發射度單發診斷方案。相關研究成果以“Measurement of electron beam transverse slice emittance using a focused beamline”為題發表在High Power Laser Science and Engineering上。
得益于激光尾波場的超高加速梯度,基于激光尾波場加速的電子束有望應用于超緊湊輻射源和臺式化自由電子激光,這對電子束品質提出了更高的要求。研究中,一般用六維相空間亮度
表征電子束的綜合品質,其中
和
分別表示電子束水平和垂直發射度。品質優化依賴于精確的診斷方案,而尾波場的不穩定性導致電子束發次間存在抖動,而微米量級尺寸的電子束以近光速運動,且由于尾波場的不穩定性,電子束發與發之間存在抖動,因此如何實現電子束橫向發射度高分辨率的單發測量,對電子束發射度進一步優化具有重要意義。
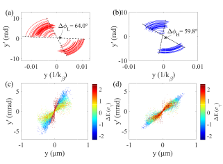
針對上述問題,研究團隊設計了一種適用于激光尾波場加速電子束橫向切片發射度的單發診斷方案。電子在空泡中除了受到縱向加速場,也會受橫向聚焦力而產生橫向振蕩,而振蕩的頻率是和能量相關的,這就使得不同能量的電子在振蕩的過程中會產生橫向相位差。通過相位補償,不同能量的電子在橫向相空間上保持同一相位,束團呈現出切片信息。基于相位補償,結合具有能散的電子束團經過一條聚焦束線后,其橫向尺寸與能量的耦合關系,可以計算出電子束橫向切片發射度。該方案的測量精度可以達到10 nm量級,經過優化在實驗上測得發射度為0.27 mm mrad。精確的診斷方案可以作為發射度進一步優化的依據,根據測得的發射度,可以設計匹配的束線保證電子束長距離傳輸,實現臺式化自由電子激光更高品質輻射輸出。

圖1 電子束低能部分(a)和高能部分(b)橫向相空間運動軌跡,相位補償前(c)和相位補償后(d)電子橫向相空間分布

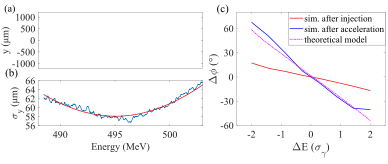
圖2 實驗測量結果和補償的相位差
轉載請注明出處。








相關文章
熱門資訊
精彩導讀





















關注我們




