近日,中國科學院合肥物質科學研究院固體物理研究所研究員徐文課題組與西南大學合作,利用太赫茲時域光譜(THz TDS)技術,探究熒光碳量子點(CQDs)的光電特性,發現在80-280 K溫度范圍內,紅光熒光量子點(R-CQDs)在0.2-1.2 THz頻段為光絕緣體(即對THz光全透),而藍光熒光量子點(B-CQDs)隨THz頻率、溫度的增加出現絕緣體-半導體轉變。相關研究成果以Optically induced insulator-to-semiconductor transition in fluorescent carbon quantum dots measured by terahertz time-domain spectroscopy為題,發表在Carbon上。
碳量子點是一種零維碳基材料,由于其優良的光電學性能和無環境污染制備技術而受到關注,有望成為新一代照明、顯示器件的基礎材料。在器件應用中,CQDs通常被制備成固體粉末或薄膜,其光電特性與溶液中的CQDs存在較大差異。因此,對碳量子點粉末光電特性的研究可為碳量子點光電器件的制備提供重要的材料物理信息。THz TDS技術可無接觸地測量材料光電導率及相關電輸運參數,可應用于難以制備電極的納米光電材料研究。
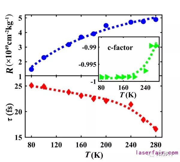
研究人員制備了在紫外光照射下分別發射藍色熒光(B-CQDs)和紅色熒光(R-CQDs)的兩種熒光碳量子點溶液,通過滴樣干燥獲得粉末樣品。樣品表征研究發現,與B-CQDs相比,RCQDs具有更多吸附于碳核的C=O、-COOH基團和N相關的基團。這些基團對CQDs的光學特性(如光熒光、紅外吸收、THz響應等)產生影響。在80-280 K溫度范圍內,研究人員測量了兩種樣品在0.2-1.2 THz頻譜范圍的透射率,發現R-CQDs在測量頻譜范圍內的THz光透射率約為1,對應的光電導趨于0,表現為光絕緣態行為。此效應產生的主要原因是R-CQDs的表面基團形成強烈的載流子束縛。然而,B-CQDs的THz光透射率在低頻接近1,隨著頻率、溫度的增加而逐漸下降,表現為由絕緣態到導電態的轉變。此外,通過THz透射譜,研究人員獲得了不同溫度下B-CQDs光電導的實部和虛部,經Drude-Smith公式擬合導出B-CQDs的關鍵物理參數,并深入研究了這些參數的溫度依賴關系。實驗結果顯示,B-CQDs的導電態為半導體態,存在較強的載流子局域化效應,其電子散射主要由雜質、聲學聲子、光學聲子散射引起。
該工作首次將THz TDS技術應用于熒光碳量子點的研究,為碳量子點粉末關鍵物理參數的實驗測量提供了新方法,有助于深入了解碳量子點的基本物理特性。同時,研究中觀測到熒光碳量子點在THz頻段的絕緣-半導體轉變這一物理現象,表明碳量子點可應用于THz光透射的調控,制備新型THz器件。

圖1.(a)兩種碳量子點的光致發光光譜;(b)兩種碳量子點的紫外-可見吸收光譜;(c)電子能級和光致發光電子躍遷示意圖

圖2.不同溫度下,紅色(虛線)和藍色(實線)熒光碳量子點的THz透射率

圖3.藍色碳量子點的載流子濃度相關參數R、馳豫時間τ及局域化因子c隨溫度變化的實驗數據(點)及其擬合曲線(虛線)
研究工作得到國家自然科學基金和合肥科學技術中心項目的支持。
論文鏈接:https://authors.elsevier.com/c/1cDf81zUALjpu
轉載請注明出處。








相關文章
熱門資訊
精彩導讀





















關注我們




