本文利用鍍光學薄膜的方法來改變鍍層厚度,可以有效地將原來處于雙模工作的1.3μm DFB激光器變為單模工作。模式改變起主導作用的是加鍍膜層影響到激光器端面反射特性中的相移。實驗表明,鍍膜技術可望成為改善DFB激光器單模工作的一種輔助方法。實驗結果有助于理解相移對激射特性的作用。
1 引 言
DFB激光器在較寬的工作溫度和電流范圍內,能抑制普通腔半導體激光器常見的模式跳變,有很高的邊模抑制比,特別是在高速調制下仍保持單縱模特性,成為動態單模的激光器,是光長距離,寬帶高速光通訊系統中較理想的光源。因此在快速發展的光電子領域中受到極大重視。
到目前為止,已經報導了許多能使DFB激光器實現單模工作的方法。其中最為現實和容易實現的方法是在激光器解理端面鍍光學膜,使激光器兩個端面的反射成為不對稱結構,從而可使單模工作的幾率得到改善。就是說,DFB激光器端面上鍍光學薄膜,對單模工作是相當重要的。
眾所周知,DFB激光器激射所需要的反饋,是由整個腔上光柵的分布反射提供的。光柵在解理端面處的位相會對激光器的特性起著重要的影響。這樣的事實已為用離子束刻蝕的方法把激光器端面刻掉不同深度,并通過研究閾值電流及縱模特性所得到的結果所證實。在解理端面上鍍光學膜的方法是可以控制DFB激光器端面相位的。
本文報導了在常規的制作工藝中,激光器一個端面鍍高反射膜(HR),另一端面鍍抗反射膜(AR),仍有個別激光器的工作還為雙模的情況下,再適當增加單層膜的厚度,可使它們實現單模工作。實驗證明,鍍膜技術可成為提高DFB激光器單縱模工作的一種輔助手段。
2 實 驗
本實驗用的DFB激光器的基本結構如圖1所示。DFB激光器是一個端面用電子束蒸發鍍有多層介質高反射膜(HR),光輸出端面鍍有單層厚度為λ/4的增透膜(AR)。圖中的n1,n2和n0分別表示激光器波導區,增透膜和空氣的折射率。1是指示激光器的解理面與增透膜的界面,2是指增透膜和空氣的界面。實驗樣品是在某批次中大部分器件已處于單縱模工作狀態下,出現雙模工作的那些器件。

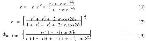
從薄膜光學原理知道,單層光學膜的反射系數r可用復數形式表示為:

其中r 和Φ是反射系數的振幅和相位,r1和r2是界面1和界面2的反射系數,δ2是薄膜的位相厚度,d2是單層增透膜的厚度。考慮到激光器發射的光是垂直透過單層增透膜的。這樣,反射系數和位相厚度可表示為r1=(n1-n2)/(n1+n2),r2=(n2-n0)/(n2+n0)和δ2=(2π/λ)n2d2。
這些關系清楚地表明,在增透膜的折射率n2被選定后,改變光學膜的厚度即改變了位相厚度。這既改變了反射系數的振幅,也改變了單層膜反射系數的相位。光學膜的與光柵在端面的反射振幅和位相的作用結合起來,共同影響與激射特性有關的激光器端面的反射系數振幅和位相。

實驗過程中,首先測量樣品的光譜特性和輸出特性,然后在已鍍單層膜的端面上再鍍適當厚度。實驗樣品是1.3μm DFB激光器。圖2是一個樣品在實驗前測量的光譜特性。在這種情況下,根據經驗將膜厚增加10~20nm后,單模工作會得到改善。膜厚是由控制蒸發速率的石英晶體振蕩控制儀(IC6000)指示的。根據圖2所示的光譜特性,該實驗是取了14nm。加鍍過膜之后再對樣品進行測量分析。
轉載請注明出處。








相關文章
熱門資訊
精彩導讀





















關注我們




