示波器是一種用途十分廣泛的電子測量儀器。它能把肉眼看不見的電信號變換成看得見的圖形,便于人們研究各種電現象的變化過程。利用示波器能觀察各種不同信號幅度隨時間變化的波形曲線,還可以用它測試各種不同的電量,如電壓、電流、頻率、相位差、調幅度等等。更廣義地說,示波器是一種能夠反映任何兩個參數相互關聯的X-Y坐標圖形的顯示儀器。示波器不僅應用于實驗室,更成為信息時代不可缺少的輔助工具,利用示波器對電子產品的電路進行信號的檢測和分析,可以大大提高檢修效率。理解并掌握示波器的示波原理是解決這些問題的前提,但大多數同學對此難以理解。文獻利用沙漏的單擺運動實驗對示波器示波原理進行類比簡化,解決了正弦波電壓的顯示原理問題;文獻論述了示波管熒光屏上的顯示波形與電子運動規律、波形周期與掃描電壓周期的關系,但這兩種方法都存在不足,需加以改進。
1 示波管的結構
示波管是示波器的核心部件,其由電子槍、偏轉系統和熒光屏三部分組成(如圖1所示)。電子槍的作用是發射電子并形成很細的高速電子束;偏轉系統由水平(x)方向和垂直(y)方向兩對偏轉板組成,它的作用是決定電子束怎樣偏轉;熒光屏的作用則是顯示偏轉電信號的波形。可以用一個形象的比喻來說明示波管的示波原理,即將電子槍比作畫圖的筆,筆尖就是高速電子束,將電子偏轉系統比作握筆的手,將熒光屏比作畫圖的紙,那么將示波原理可比作用手握著筆在紙上作畫。

2 兩種示波原理分析法的比較
文獻利用沙漏的單擺運動實驗對示波器的示波原理進行類比簡化,當示波管熒光屏上顯示正弦波形時,電子束轟擊熒光屏上的熒光粉而形成正弦波;沙漏在模擬單擺運動時,在硬紙板上也能描繪出正弦曲線。這兩種情況無論在波形還是原理上,都是相通的。這種分析法對于分析用示波器顯示正弦波原理時有效,并且易于讓學生理解,但對于分析顯示非正弦波形時無效,而實際上用示波器顯示的不僅是正弦波,故還需要有其他的分析方法。
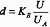
文獻論述了示波管熒光屏上的顯示波形與電子運動規律、波形周期與掃描電壓周期的關系,應用物理上力與運動的知識來分析示波原理。這種方法雖然較難理解,但它能分析所有波形的示波原理。但是,文獻中沒有指出該種方法的關鍵之處,即電子的數目很多,不同的時刻所研究的電子(實際上是電子束)是不同的;再就是電子的速度很快,穿過偏轉系統的時間很短,每個電子穿過偏轉系統的瞬間可將偏轉電壓看作恒定。只有指出這兩點,當選用電子運動規律來分析顯示波形時,學生才不會只對某一個電子分析其運動軌跡。這樣,更易于理解電子的運動規律:電子束中電子偏離軸的距離
其中KE是一個與偏轉系統的幾何尺寸有關的常數,U偏轉板兩端的電壓,UA為電子槍中加速極的加速電壓。因此,UA一定時,偏轉電壓越大,電子的偏轉距離與偏轉電壓成正比;也更易于理解由電子運動規律得出的示波管示波原理。
3 任意波形形成原理的分析法
示波管中的電子有著三維運動,即由水平偏轉板上的電壓而引起的水平方向上的運動(x方向),由垂直偏轉板上的電壓而引起的垂直方向上的運動(y方向),垂直于熒光屏的運動(z方向)。事實上,打在熒光屏上的電子是由三個分運動合成的結果。由于分析的是熒光屏上圖形,即平面上的圖形,則沿著z方向的運動可不分析。又由于不同的時刻所研究的電子是不同的,并且每個電子穿過偏轉系統的瞬間可將偏轉電壓看作恒定,再由公式(1),可得到任意波形形成原理的分析法如下:
(1)調節示波器旋鈕,使y偏轉板及x偏轉板上的電壓均為零時,光點在熒光屏中心位置;
(2)依據y偏轉板上的電壓波形特點,將y偏轉板及x偏轉板上的電壓波形按時間取多個特殊點;
(3)確定在某時刻y偏轉板及x偏轉板上的電壓;
(4)由公式
(UA為定值)確定y方向及x方向的偏轉距離,并合成得到此刻光點在熒光屏上的位置;
(5)按同樣的方法確定各個特殊點所對應的時刻光點在熒光屏的位置;
(6)用描點(光點)法把波形畫出。
4 任意波形形成原理分析法的應用
4.1 顯示隨時間變化的波形
例如:如果在y偏轉板上加周期為Ty的正弦波電壓,在x偏轉板上加周期為Tx的鋸齒波電壓,且Tx=Ty(如圖2所示)。 根據文獻中的方法可以分析該正弦波的形成原理。

當t=t2時,uy=0,ux=0,,則在y軸方向上,電子束2的偏轉距離為零;在x軸方向上,電子束2的偏轉距離也為零,運動合成后,射到熒光屏的點2位置,即熒光屏的中心位置。
當t=t0時,uy=0,ux=-Uxm,則在y軸方向上,電子束0的偏轉距離為零;在x軸負方向上,電子束1的偏轉距離最大,運動合成后,假設射到熒光屏的點0(或0’)位置。#p#分頁標題#e#
當t=t1時,uy=Uym,ux=-1/2Uxm,則在y軸正方向上,電子束1的偏轉距離最大;在x軸負方向上,電子束1的偏轉距離為x軸負方向最大偏轉距離的1/2,運動合成后,假設射到熒光屏的點1位置。
當t=t3時,uy=-Uym,ux=-1/2Uxm,則在y軸負方向上,電子束3的偏轉距離最大;在x軸正方向上,電子束3的偏轉距離為x軸正方向最大偏轉距離的1/2,運動合成后,假設射到熒光屏的點3位置。
當t=t4時,uy=0,ux=Uxm,則在y軸方向上,電子束4的偏轉距離為零;在x軸正方向上,電子束4的偏轉距離為最大,運動合成后,射到熒光屏的點4位置。
在下一個掃描周期,電子束轟擊到熒光屏的位置重復進行,這樣,一個完整的正弦波波形就形成了。
4.2 顯示任意兩個變量之間的關系
示波器兩個偏轉板上都加正弦波電壓時顯示的圖形稱為李沙育(Lissajous)圖形,這種圖形的形狀取決于不同的頻率比和初始相位差(如圖3所示)。例如,若兩正弦信號的頻率比為1,初相相同,且在x、y方向的偏轉距離相同,在熒光屏上畫出一條與水平軸呈45°角的直線;若初相相差90°,且在x、y方向的偏轉距離相同,在熒光屏上畫出的圖形為圓。

同樣,根據文獻中的方法可以分析圖3中任意一個波形的形成原理。
5 結語
文中通過對文獻中所介紹的兩種示波器示波原理分析法的比較和解析,總結出了一種分析任意波形形成原理的方法,解決了多年來學生對于示波器示波原理的諸多疑惑和疑難問題。
轉載請注明出處。








相關文章
熱門資訊
精彩導讀





















關注我們




