RASCO Automotive Systems是一家專業的三維掃描、逆向工程、質量檢測服務提供商,主營業務是幫助汽車和機械等行業行業用戶對沒有CAD數據的汽配件和其它機械件進行數字化逆向工程,質量檢驗,這些汽配件包括有懸架和底盤、鑄件、各種機械部件、保險桿等,此外RASCO還能提供整車掃描服務。

三維掃描服務是近年來快速增長的一個行業,一個小的零配件掃描僅僅需要10多分鐘的時間,卻可以給RASCO帶來數千美元的收入,而RASCO每年可完成幾千件的掃描任務,RASCO負責表示人隨著工程師熟練程度增加,他們甚至還可以做得更多。如此之高的投入產出比源自于各種光學式三維掃描技術的快速發展,相比于傳統機械式三維掃描儀,他們效率明顯提升。
RASCO采用的3D3公司的HDI Advance快速三維掃描儀是一款白光三維掃描儀,可以在1.4s的時間完成一次掃描。相比于同類白光三維掃描儀,除了掃描速度快外,還具有靈活的配置,簡單易用的軟件,可以高精度的快速完成各種大小物件的三維掃描,僅僅一次小的投入,就可以持續獲得豐厚的回報。


與一般的三維掃描儀不同,HDI ADVANCE掃描是一套可拆卸掃描儀,主要由FlexScan3D軟件和PointGrey工業相機等組成,掃描儀設置(鏡頭組合和間隔的距離)可任意變換以適應不同目標達到最佳的掃描性能,組件可以掃描目標不同的形狀和大小進行拆卸與更換,非常靈活。掃描儀快速和高精度的捕獲三維數據。如RASCO使用的HDI Advance R1三維掃描儀多掃描儀組合模式(12.5毫米和16mm兩組鏡頭),就已經可以任意掃描50mm的小配件到2500mm大小的整車。
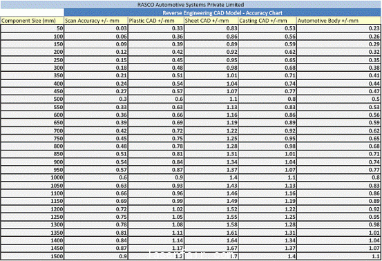
通常情況下根據形狀和大小的不同,掃描儀1個零件或組件,RASCO的會進行15~50次掃描,最后使得整體精度在20um到35um之間。掃描一個整車會需要更多的時間,整體精度則會取決拼接操作的合理性,以下是RASCO采用HDI ADVANCE進行不同大小物體掃描可達到的掃描精度列表。

逆向工程
RASCO客戶三維掃描的一個主要需求是對工件進行逆向工程復制。對于工業機械、汽車零配件的逆向重建都需要360度全方位3D重構,以便完成完整的復制,這就涉及到多次掃描拼接的問題,而許多機械配件往往沒有特征,只是一個圓柱體,如軸,活塞和管狀元件,這給拼接帶來很大的困難。在這種情況下,HDI ADVANCE的攝影測量功能發揮了巨大作用,它可以幫助工程師們快速、準確的對多次三維掃描結果進行對齊拼接,以構建360度全方位3D形貌。對于沒有幾何特征的目標或者是需要大面積拼接的情況,還增加了基于標記對齊方法,可以輕松快速的自動對齊沒有特征的圓柱形物體。
三維檢測
在機械配件掃描應用中,另外一種需求是對掃描件的三維機械尺寸進行分析和檢測,以便進行產品質量控制。RASCO利用HDI ADVANCE的偏差分析功能,與Geomagic配合可以提供精準的數字、圖形數據比較報告,允許配件制造商客戶在產品大批量生產之前就發現問題,節約成本和時間。

轉載請注明出處。








相關文章
熱門資訊
精彩導讀





















關注我們




