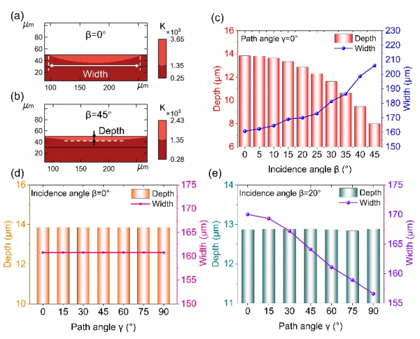
研究首次闡明激光燒蝕過程中曲面元件對形貌及熱應力的影響機制。相關研究成果以“Theoretical and experimental investigations of angular effects in pulsed CO2 laser ablation with fused silica”為題發表于Optics Express。 隨著高功率光學系統向高損傷閾值與超精密的方向發展,熔石英光學元件因其優異的光學性能被廣泛應用于慣性約束聚變、先進光刻等前沿領域。然而,傳統子孔徑加工技術存在雜質污染與亞表面損傷問題,嚴重制約元件性能提升。激光燒蝕技術因其非接觸、無污染的優勢備受關注,但現有激光燒蝕工藝面臨殘余熱應力累積的難題,導致元件壽命急劇縮短,成為制約超精密制造的核心瓶頸。 圖1 激光燒蝕曲面元件示意圖 針對這一問題,該研究首次揭示了曲面元件對熔石英熱力耦合效應的多尺度調控機制,建立了涵蓋光斑畸變與吸收率動態衰減的普適模型,系統研究了脈沖CO?激光燒蝕過程中入射角與路徑角對熔石英表面形貌、溫度、熱影響區及殘余應力的調控機制。本工作有助于深入了解激光燒蝕過程,為實現復雜曲面的高精度激光燒蝕奠定了理論基礎,對光學元件超精密制造有重要意義。 圖2 不同角度下熱影響區的深度與寬度的演變


轉載請注明出處。








相關文章
熱門資訊
精彩導讀





















關注我們




