泵浦光源(簡稱泵源)作為光纖激光器的核心器件,對激光器的功能和性能無疑都有著至關重要的決定性作用。許多初接觸激光或非激光專業技術人員對泵源這一器件尚不算深入了解,因此對這一器件的疑問也比較多。今天科普泵源的幾個相關知識。
目前1μm光纖激光器泵浦光源有哪些?
1962年,H.W.Etzel等人成功研制出第1臺摻鐿離子(Yb3+)的光纖激光器,即目前最常見的1μm波長(1.064μm/1.080μm)光纖激光器?2004 年,南安普敦大學的 Jeong 等利用975nm LD 雙端泵浦纖芯直徑 43μm的雙包層摻鐿光纖,產生了1.01 kW的1090 nm激光輸出,實現了世界上第一個千瓦級光纖激光輸出。此后,915nm和975nm泵浦Yb實現1μm波段激光器成為主要的泵浦激光選擇。
圖1給出了Yb3+離子的吸收截面與輻射截面。在室溫下,吸收譜線在850nm~1050nm之間存在著兩個吸收峰,分別為915nm和976nm。976nm的吸收峰較高但是很窄,其吸收譜寬約為10nm;而915nm處的吸收峰則比較低和寬,吸收峰的高度大約為976nm 峰值的三分之一,但是吸收譜寬約為50nm,是976nm處吸收譜寬的5倍左右?發射光譜在900nm~1200nm之間也存在兩個峰,分別為976nm和1030nm。976nm處的輻射峰峰值較高,輻射譜寬10nm 左右,由三能級躍遷所致;1030nm 處峰值較低,但是輻射譜寬較寬,大于 50nm,由準四能級的躍遷所致。

圖1:Yb光纖的吸收截面(實線)和發射截面(虛線)
根據上述的圖和分析,結合實際的LD激光的發展,基本上Yb3+離子的1um波段的激光器基本都是用915nm 和975nm的LD激光作為泵浦光源。
為什么早期使用915nm泵源較多,目前基本上都使用976nm泵源?
常規的LD 輸出波長會隨著溫度的變化出現漂移,溫度漂移系數約為0.31nm/℃。根據圖1我們可以看出,溫度將影響有源光纖的泵浦吸收峰,不僅降低了激光器的效率,而且未吸收的泵浦光還會導致光路中的其他元器件損壞?由于915nm處的吸收譜寬約為50nm,溫度對泵浦的吸收影響很小,而溫度漂移對976nm影響較大,而早期激光器由于溫度控制不精確,因此,尤其是上世紀所生產的光纖激光器中,大多數皆使用915nm的泵源。
光纖吸收泵浦光后直接出光,這種泵浦技術被稱為直接泵浦,即由9XX nm波長經過有源光纖后輸出1064nm?1070nm、1080nm 等波長的激光?這類泵浦技術已經廣泛應用于科研激光器和工業常規激光器。但是,這類泵浦技術存在一定的量子虧損效應,損耗的泵浦會直接產生熱量,影響激光器的可靠性和功率的進一步提升。

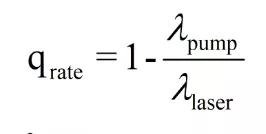
此公式中, 和 分別為泵浦光和輸出激光的波長?當鐿離子吸收975nm的泵浦光發射1070nm激光時,電子躍遷的量子虧損率約為9%,而采用915nm的泵浦光發射1070nm激光時,電子躍遷的量子虧損率約為14%。可見976nm的泵浦在能源的利用率上有較大提升。從工業產品的生產角度來說就是成本的降低。


其次,隨著高亮度泵源和水冷機組的發展,高功率激光器基本都采用了水冷散熱,在溫度控制上更加精準,可防止LD泵源的波長漂移,保證激光器的泵浦吸收效率。目前高功率光纖激光器基本都是采用976nm泵源,在提高激光器效率的同時,有效地降低成本。表1將兩種泵源進行比較,在溫度控制穩定的基礎上,顯然976nm的泵源更加有利。

表1:915nm泵浦和976nm泵浦比較
976nm泵浦是一項全新的技術嗎?
976nm泵浦并不是一項新技術。上世紀六七十年代,915nm和976nm的LD泵源皆用于激光器泵源,到2004年已能夠使用976nm的泵源實現千瓦級的激光輸出,技術上已十分成熟。國內的絕大部分工業激光器廠家在2012年左右的時候開始采用976nm的LD作為主要的泵浦方式。發展到現在,這一技術已作為常規技術在使用,尤其是針對科研用戶這類對激光器有特殊要求的用戶群體。目前市售的幾百瓦甚至數千瓦鎖波長LD可以將溫度漂移系數控制在0.01nm/℃以內, 976nm 等波長泵浦已成為沖擊高功率激光器不可或缺的器件。同時LD 的輸出光纖數值孔徑也在不斷優化,從之前的0.22提升為目前的0.15,甚至0.13,為合束器有效接收更高功率泵浦光創造了有利的條件,使之可進一步提升激光輸出功率。
目前還有其他泵浦光源或者技術可供選擇嗎?
除了泵浦方式的變化(早期單純正向泵浦發展為反向泵浦、正反向同時泵浦、915nm和976nm雙波長混合泵浦、側邊泵浦等),泵浦本身在技術上也有發展和進步:采用 976nm 泵浦輸出孔徑數值在0.07左右的有源光纖,使之發射高亮度1018nm激光,再用此1018nm激光作為泵浦光輸出1064nm?1070nm 及1080nm等波長的激光,并稱之為同帶泵浦,可以有效減少量子虧損所帶來的熱效應,目前對該技術掌握比較好的是IPG公司,已經將其應用在實際的工業產品中。國內科研院所和高校也做了大量同帶泵浦相關研究,但目前國內工業激光器廠家暫時還沒有將此作為主流技術使用和推廣。
轉載請注明出處。








相關文章
熱門資訊
精彩導讀





















關注我們




